CONCEPTO 20240300113211 DE 2024
(agosto 14)
<Fuente: Archivo interno entidad emisora>
COMISIÓN DE REGULACIÓN DE AGUA POTABLE Y SANEAMIENTO BÁSICO
-CRA-
Bogotá, D.C.
Señora
XXXXXX
Asunto: Radicado CRA 2024-321-006466-2 del 16 de julio de 2024
Respetada señora XXXXXX:
Acusamos recibo de su comunicación en la cual manifiesta que envía: "(...) las siguientes preguntas sobre el marco tarifario de acueducto para prestadores con menos de 2.500 suscriptores (...).
Antes de dar respuesta a su consulta, le indicamos que de acuerdo con lo dispuesto por el artículo 28 [1] del Código de Procedimiento Administrativo y de lo Contencioso Administrativo, los conceptos emitidos son orientaciones que no comprenden la solución directa de problemas específicos, ni el análisis de situaciones particulares, la respuesta es general y no tiene carácter obligatorio ni vinculante. Adicionalmente, la presente respuesta se emite sin perjuicio de lo que, sobre el particular, consideren otras entidades en el marco de sus competencias.
A continuación, se dará respuesta a cada una de sus preguntas en el mismo contexto en que fueron planteadas:
1. Se tiene un acueducto rural que comenzó a operar en noviembre de 2019, y va a hacer este año el estudio tarifario, ¿puede calcular los costos con base en los estados financieros de 2023, expresados en pesos de 2016?
Al respecto, es importante indicar que debido a que su consulta se refiere a un prestador rural, es necesario tener presente que este se encuentra ubicado en el segundo segmento de la metodología tarifaria contenida en la Resolución CRA 825 de 2017, hoy compilada en la Resolución CRA 943 de 2021.
En este sentido, para el caso de los componentes CMA y CMOG del segmento mencionado, las fórmulas tarifarias aplicables se encuentran establecidas en los artículos 2.1.1.1.4.2.1 y 2.1.1.1.4.3.2 de la Resolución CRA 943 de 2021, respectivamente, los cuales ya se encuentran expresados en pesos de diciembre de 2016, y además cada uno de estos artículos se establece en un parágrafo la regla que “para efectos de fijar el valor que se encuentre dentro del rango establecido en el presente artículo, se podrá emplear la información y soportes que la persona prestadora considere pertinentes”.
De igual manera, para el cálculo del CMOP, el parágrafo 2 del artículo 2.1.1.1.4.3.3. de la Resolución en cita establece que:
“PARÁGRAFO 2. Las personas prestadoras del segundo segmento que tengan menos de un (1) año de operación a la entrada en vigencia de la Resolución CRA 825 de 2017 que aquí se compila, o no cuenten con la información del año base de acuerdo con lo establecido en el artículo 2.1.1.1.1.7. del presente Título, para estimar el valor del Costo Medio de Operación Particular (CMOP) podrán proyectar los costos con los soportes que consideren pertinentes.
Los soportes de dichos costos deberán quedar a disposición de las entidades de vigilancia y control que las requieran, en ejercicio de sus funciones. Una vez cumpla un (1) año fiscal en operación, deberán calcular el Costo Medio de Operación Particular (CMOP) con dicha información y aplicarlo directamente. Para tal efecto, las personas prestadoras deberán cumplir con lo previsto en el Título 6 de la Parte 8 del Libro 1 de la presente resolución, o la norma que la modifique, adicione, sustituya o derogue para el reporte de las variaciones tarifarias”.
Para el caso de los señalados soportes, el parágrafo 1 del artículo antes citado establece que:
“PARÁGRAFO 1. Los Costos Operativos Particulares del año base para cada uno de los servicios públicos domiciliarios, que se incluyan en cada uno de los criterios detallados en el presente artículo, deberán estar soportados por:
(i) Estados financieros para el año base, independientemente de la forma como la persona prestadora lleve sus registros, ya sea siguiendo los parámetros de las Normas de Información Financiera - NIF en cumplimiento de lo establecido en la Ley 1314 de 2009 “Por la cual se regulan los principios y normas de contabilidad e información financiera y de aseguramiento de información aceptados en Colombia, se señalan las autoridades competentes, el procedimiento para su expedición y se determinan las entidades responsables de vigilar su cumplimiento”, y sus decretos reglamentarios, o con el Plan Único de Cuentas - PUC, según aplique o,
(ii) Valor de las facturas que soporten dichos costos en el año base.
De lo anterior es claro que para el caso de la aplicación de las fórmulas correspondientes al segundo segmento de la Resolución CRA 825 de 2017, compilada en la Resolución CRA 943 de 2021, en los componentes tarifarios de costos CMA y CMOG el prestador puede utilizar los soportes que considere pertinentes y para el CMOP puede soportar el cálculo con las facturas de los respectivos componentes de costos a incluir, por lo cual, es decisión de la persona prestadora utilizar como soporte la información del año 2023.
Ahora bien, como segunda opción, de acuerdo con el parágrafo del artículo 2.1.1.1.1.6. de la Resolución CRA 943 de 2021, “las personas prestadoras del segundo segmento podrán aplicar la metodología establecida para el primer segmento” y una vez informen la decisión sobre la aplicación de esta opcion, ya no podrán aplicar la metodología del segundo segmento.
Así mismo, el artículo 2.1.1.2.2 de la Resolución CRA 943 de 2021 establece que:
“ARTÍCULO 2.1.1.2.2. ENTRADA DE UN NUEVO PRESTADOR O SUSTITUCIÓN. Para efectos de elaborar un nuevo estudio de costos, en aplicación de lo dispuesto en el parágrafo 3 del artículo 2.1.1.1.1.7. de la presente resolución, las personas prestadoras del primer segmento, deberán aplicar lo establecido en el parágrafo 2 del artículo ibídem”.
Así, los parágrafos 2 y 3 del artículo 2.1.1.1.1.7. de la Resolución CRA 943 de 2021 establecen que:
“PARÁGRAFO 2. Las personas prestadoras pertenecientes al primer segmento que tengan menos de un (1) año de operación, a la entrada en vigencia de la Resolución CRA 825 de 2017 que aquí se compila o no cuenten con la información del año base de acuerdo con lo establecido en el presente artículo, podrán:
(i) Aplicar los valores mínimos fijados por la CRA para el Costo Medio de Administración (CMA), de acuerdo con lo establecido en el artículo 2.1.1.1.3.2.2, y para el Costo Medio de Operación General (CMOG) en el artículo 2.1.1.1.3.3.3. del presente Ttítulo;
(ii) Estimar los costos de prestación del servicio, siempre y cuando el valor del Costo Medio de Administración (CMA) y del Costo Medio de Operación General (CMOG), sean mayores a los valores mínimos fijados por la CRA para estos componentes.
Una vez cumplan un (1) año fiscal en operación, deberán calcular los costos económicos de referencia y aplicarlos directamente, siempre y cuando el valor del Costo Medio de Administración (CMA) y del Costo Medio de Operación General (CMOG), sean mayores a los valores mínimos fijados por la CRA para estos componentes. En todo caso, las personas prestadoras deberán cumplir con lo previsto en el Título 6 de la Parte 8 del Libro 1 de la presente resolución, o la norma que la modifique, adicione, sustituya o derogue para el reporte de las variaciones tarifarias.
PARÁGRAFO 3. La persona prestadora que inicie la prestación de servicios en una APS en la que prestaba servicios otro prestador del primer o del segundo segmento, utilizando la misma infraestructura, deberá realizar un nuevo estudio de costos, aplicando la metodología tarifaria que corresponda, que deberá ser aprobado por la entidad tarifaria local. No obstante, el prestador podrá continuar aplicando los mismos costos económicos de referencia, aprobados por la entidad tarifaria local anterior, tal decisión deberá ser convalidada por su entidad tarifaria local.
En ambos casos, el nuevo prestador deberá cumplir con lo previsto en el Título 6 de la Parte 8 del Libro 1 de la presente resolución, o la norma que la modifique, adicione, sustituya o derogue para el reporte de las variaciones tarifarias y, así mismo, deberá remitir a la Comisión de Regulación de Agua Potable y Saneamiento Básico - CRA y a la Superintendencia de Servicios Públicos Domiciliarios - SSPD el nuevo estudio de costos y sus soportes.”
De acuerdo con lo anterior, en el caso de la persona prestadora que opte por aplicar las fórmulas correspondientes al primer segmento, podrá estimar los costos de prestación del servicio, siempre y cuando el valor del Costo Medio de Administración (CMA) y del Costo Medio de Operación General (CMOG), sean mayores a los valores mínimos fijados por la CRA para estos componentes, pero una vez cumpla un (1) año fiscal en operación, deberán calcular los costos económicos de referencia y aplicarlos directamente.
Quiere decir lo anterior, que si la persona prestadora inicia operación en noviembre de 2019, su primer año fiscal completo corresponde al año 2020, razón por la cual es la información de este año la que servirá de base para el cálculo de los costos de prestación. Por lo tanto, en el caso que la persona prestadora quiera aplicar la metodología del primer segmento establecida a partir del artículo 2.1.1.1.2.1 de la Resolución CRA 943 de 2021, no podría utilizar la información correspondiente al año 2023.
2. Una empresa que tiene estudios tarifarios de 2018 con la metodología del primer segmento y la alternativa 2 para el cálculo del CMI, y su plan de inversiones a 5 años lo culminó en 2023, ¿debe modificar el estudio de tarifas, haciendo otro plan de inversiones para los siguientes 5 años?
3. Una empresa que tiene estudios tarifarios de 2018 con la metodología del segundo segmento y su plan de inversiones a 5 años lo culminó en 2023, ¿debe modificar el estudio de tarifas, haciendo otro plan de inversiones para los siguientes 5 años?
Al respecto, se debe tener en cuenta que el Costo Medio de Inversión para los prestadores que se encuentran en el ámbito de aplicación de la Resolución CRA 825 de 2017[2], compilada en la Resolución CRA 943 de 2021, se debe definir de acuerdo con lo establecido en los artículos 2.1.1.1.3.4.1 para las personas prestadoras del primer segmento y 2.1.1.1.4.4.1 para las personas prestadoras del segundo segmento.
Teniendo en cuenta que en su solicitud hace referencia a las personas prestadoras que adoptaron un plan de inversiones de 5 años, para las personas prestadoras pertenecientes al primer segmento la Alternativa 2 supone proyectar un plan de inversiones a (5) años tal y como se expone a continuación:
“Alternativa 2. Las personas prestadoras del primer segmento que opten por esta alternativa deberán: i) Determinar el valor de sus activos actuales y anualizarlos; ii) Proyectar un plan de inversiones a cinco (5) años, contados a partir de la vigencia de la fórmula tarifaria establecida en la presente resolución, para expansión, reposición y rehabilitación de los sistemas de acueducto o alcantarillado (en pesos de diciembre del año 2016) y anualizarlos, y iii) Establecer el volumen de agua potable suministrada en el año base afectado por el índice de pérdidas por suscriptor facturado estándar.
Para ello deberán utilizar la siguiente fórmula:
![]()
Donde:
| Costo Medio de Inversión para cada uno de los servicios públicos domiciliarios de acueducto y alcantarillado expresado en pesos de diciembre del año 2016 por metro cubico. | |
| Sumatoria del valor de los activos actuales anualizados (en pesos de diciembre del año 2016). Corresponde a la suma de cada uno de los activos j a remunerar afectado por el factor de anualidad del año base (fVAoj), según la siguiente formula: |
Donde
| Valor de los activos actuales j definidos según los criterios establecidos en el ARTÍCULO 21 de la presente resolución | |
| Factor de anualidad del año base del valor de cada uno de los activos j, el cual se define en la tabla incluida en el ANEXO III de la presente resolución. | |
| Cada uno de los activos actuales afectos a la prestación del servicio (1,2,..., m). | |
Sumatoria del plan de inversiones anualizado del año i para expansión, reposición y rehabilitación de los sistemas de acueducto o alcantarillado (en pesos de diciembre del año 2016) afectados por el factor de anualidad del año i (fVAi,n), según la siguiente fórmula:![]() Donde: | |
| Costo de cada una de las inversiones n incluidas en el plan de inversiones, que considere llevar a cabo la persona prestadora en un período de cinco (5) años (en pesos de diciembre del año 2016). Las inversiones serán las definidas según lo establecido en el ARTÍCULO 22 de la presente resolución. | |
| Factor de anualidad del año i para cada una de las inversiones n incluidas en el plan, el cual se define en la tabla incluida en el ANEXO III de la presente resolución. | |
| Cada uno de los cinco (5) años contados a partir de la entrada en vigencia de la fórmula tarifaria, establecida en la presente resolución en el ARTÍCULO 34 de la presente resolución. | |
| Cada una de las inversiones que se incluyen en el Plan de Inversiones (1, 2,..., m). | |
| Agua potable suministrada corregido por pérdidas eficientes en el año base, la cual se estima con la siguiente fórmula: Donde: | |
| Agua potable suministrada en el año base (m3/año). | |
| Volumen recibido por contratos de suministro de agua potable e Interconexión en el año base (m3/año). | |
| Volumen entregado por contratos de suministro de agua potable e interconexión en el año base (m3/año). | |
| Número de suscriptores promedio mensual facturados del año base para cada uno de los servicios públicos domiciliarios. En el caso de facturación mensual, corresponde al promedio de los doce meses del año base. En el caso de facturación bimestral, corresponde al promedio de los seis bimestres del año base. 12: Corresponde al número de meses en un año. | |
| Índice de pérdidas por suscriptor facturado estándar, que corresponde a seis (6) m3/suscriptor/mes.” |
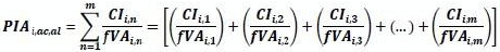
Por su parte, las personas prestadoras pertenecientes al Segmento 2 podrán optar por cualquiera de las alternativas de cálculo del Costo Medio de Inversión permitidas para las personas prestadoras del Segmento 1 entre las cuales se encuentra la “Alternativa 2” anteriormente expuesta, o aplicar lo siguiente:
“COSTO MEDIO DE INVERSIÓN PARA LAS PERSONAS PRESTADORAS DEL SEGUNDO SEGMENTO (CMIac,al). Las personas prestadoras del segundo segmento que decidan calcular el CMI podrán utilizar la fórmula establecida para el primer segmento en el artículo 20 [3] de la presente resolución o podrán aplicar la siguiente fórmula:

Donde:
| Costo Medio de Inversión para cada uno de los servicios públicos domiciliarios de acueducto y alcantarillado expresado en pesos de diciembre del año 2016 por metro cúbico. | |
| Valor de las inversiones que identifica las personas prestadoras para un período de cinco (5) años encaminadas a mejorar la cobertura, calidad, continuidad y las necesarias para la reposición y rehabilitación de los sistemas. | |
| Factor de anualidad promedio de los activos. | |
| Volumen Facturado del Año base para cada uno de los servicios públicos domiciliarios de acueducto y alcantarillado expresado en metros cúbicos. El volumen facturado para el servicio público domiciliario de alcantarillado corresponderá al volumen facturado del servicio público domiciliario de acueducto más el estimativo de la disposición de aguas residuales de aquellos usuarios que posean fuentes alternas o adicionales de abastecimiento de agua que viertan al alcantarillado. | |
| Cada uno de los cinco (5) años contados a partir de entrada en vigencia de la fórmula tarifaria, establecida en la presente resolución en el artículo 34 de la presente resolución”. |
Ahora bien, el artículo 36 de la Resolución CRA 825 de 2017, integrado y unificado en el artículo 2.1.1.1.6.3 de la Resolución CRA 943 de 2021, establece que:
“VIGENCIA DE LA FÓRMULA TARIFARIA. La fórmula tarifaria general regirá por un período de cinco (5) años, contados a partir del primero (1) de julio de 2018. Una vez vencido dicho período, la fórmula seguirá rigiendo mientras la Comisión de Regulación de Agua Potable y Saneamiento Básico (CRA) no determine una nueva.”
Teniendo en cuenta lo anterior, se aclara que para las personas prestadoras que hayan adoptado un plan de inversiones de (5) años, la regulación, de manera general, no contempla la posibilidad de adoptar un nuevo plan de inversiones. Sin embargo, el artículo 2.1.1.1.6.3 de la Resolución CRA 943 de 2021 determina que "(...) Una vez vencido dicho período, la fórmula seguirá rigiendo mientras la Comisión de Regulación de Agua Potable y Saneamiento Básico (CRA) no determine una nueva” por lo que hasta que esta Comisión no expida una norma que modifique lo estipulado en los artículos 2.1.1.1.3.4.1 y 2.1.1.1.4.4.1 de la Resolución CRA 943 de 2021, el costo medio de inversión será el resultante de su aplicación.
De acuerdo con lo anterior, el prestador no debe modificar el estudio de costos y tarifas vigente, aunque sí puede realizar modificaciones al plan de inversiones para expansión, reposición y rehabilitación en aplicación de los criterios establecidos en el artículo 2.1.1.2.1. de la presente resolución y en el artículo 2.1.1.1.3.1.2. de la Resolución CRA 943 de 2021.
Finalmente, se informa que si la persona prestadora determina que con la fórmula tarifaria aplicada no se garantiza el cumplimiento de alguno(s) de los criterios del régimen tarifario, y que por ello se hace necesaria una variación de la expresión matemática de la fórmula, o alguno de los criterios y/o parámetros (valores y/o constantes) establecidos en la regulación para la estimación de los costos y tarifas de estos servicios, podrá solicitar a la Comisión la modificación de su fórmula tarifaria mediante una actuación administrativa de carácter particular.
Para este último caso, se debe tener en cuenta que la Resolución CRA 943 de 2021, establece que la facultad para modificar esta fórmula tarifaria solo puede ser realizada por la Comisión de Regulación, como se cita a continuación:
“Artículo 1.8.7.2.1.2. Facultad para modificar la fórmula tarifaria[4]. La fórmula tarifaria para los servicios públicos de acueducto, alcantarillado y aseo sólo puede ser modificada por la Comisión de Regulación de Agua Potable y Saneamiento Básico - CRA, de oficio o a solicitud de parte.”
Particularmente, en el artículo 1.8.7.2.1.3 [5] de la referida resolución se presentan las causales que podrán ser invocadas para efectos de las modificaciones de fórmula tarifaria, así:
(i) Mutuo acuerdo entre la persona prestadora y la Comisión de Regulación de Agua Potable y Saneamiento Básico;
(ii) Grave error de cálculo en la fórmula tarifaria que lesione injustamente los intereses de los usuarios o de la persona prestadora; y/o
(iii) Caso fortuito o fuerza mayor que comprometa en forma grave la capacidad financiera de la empresa para continuar prestando el servicio.
Adicional a ello, en el artículo 1.8.7.2.1.4 [6] de la resolución en comento se dispone que para modificar la fórmula tarifaria la persona prestadora deberá demostrar dos condiciones objeto de verificación:
1. Que la fórmula tarifaria que se pretende modificar, no garantiza el cumplimiento de alguno(s) de los criterios establecidos en el artículo 87 de la Ley 142 de 1994, debido a condiciones particulares de prestación del servicio del solicitante.
2. Que la solicitud de modificación de la fórmula tarifaria propuesta, garantiza los criterios establecidos en el artículo 87 de la Ley 142 de 1994.
Una vez la persona prestadora identifique que se encuentra dentro de una de las causales descritas anteriormente y cumple con las condiciones objeto de verificación, deberá elevar la solicitud de modificación de fórmula tarifaria a esta Comisión de Regulación cumpliendo con lo establecido en la sección 2 del capítulo 2 del Título 7 [7] (para los servicios públicos domiciliarios de acueducto y alcantarillado) o la sección 3 del capítulo 2 del Título 7 [8] (para el servicio público de aseo) de la Resolución CRA 943 de 2021.
En el caso de que la persona prestadora presente la solicitud con todos los requerimientos indicados en las secciones mencionadas de la referida resolución, se iniciará una actuación administrativa la cual tendrá como objetivo adoptar mediante acto administrativo una decisión sobre la solicitud de modificación partiendo del análisis integral de todos los documentos aportados por la solicitante. Cabe señalar que en dicho acto administrativo se determinará la vigencia de la modificación de la fórmula tarifaria solicitada por el prestador[9].
4. ¿Una empresa que en este momento no cuenta con suficiencia financiera, puede modificar el estudio de costos y tarifas, con base en los estados financieros del año 2023, expresados en pesos de 2016?
Al respecto, el prestador debe verificar cuáles fueron las causas que originaron la afectación al criterio de suficiencia financiera, si es porque no realizó la actualización de los costos de acuerdo con lo establecido en el artículo 2.1.1.1.2.4. de la Resolución CRA 943 de 2021, o por un error de aplicación de fórmula teniendo en cuenta la definición del artículo 1.8.7.1.3. de la misma Resolución. Ante estos casos, el parágrafo del artículo 1.8.7.2.1.2 de dicha Resolución establece:
“PARÁGRAFO 1. En los casos en los que una persona prestadora haya incurrido en un error en la aplicación de la fórmula tarifaria, podrá realizar los ajustes respectivos, para lo cual deberá aplicar las previsiones del Título 6 de la Parte 8 del Libro 1 de la presente resolución y Título 4 de la Parte 3 del Libro 5 de la presente resolución o la norma que la modifique, adicione, sustituya o derogue, según el servicio que se trate, e informar de tal situación a la Superintendencia de Servicios Públicos Domiciliarios, para lo de su competencia, adjuntando los soportes que justifiquen el ajuste respectivo.
Lo anterior, sin perjuicio de las devoluciones por cobros no autorizados a que haya lugar, así como de las acciones que adelante la Superintendencia de Servicios Públicos Domiciliarios en cumplimiento de sus facultades de inspección, vigilancia y control”[10].
Ahora, si el prestador requiere una modificación de fórmula, entendiéndola como la variación de la expresión matemática de esta, o alguno de los criterios y/o parámetros (valores y/o constantes) establecidos en la regulación para la estimación de los costos y tarifas, el prestador puede realizar una solicitud de modificación tarifaria de acuerdo con lo señalado en la respuesta del punto anterior, teniendo en cuenta las causales de modificación, condiciones objeto de verificación y contenido de la solicitud establecida en el artículo 1.8.7.2.2.1 de la misma Resolución.
5. ¿Cómo se reportaría el nuevo estudio de costos en la aplicación SURICATA?
Al respecto, el procedimiento se encuentra establecido en la Resolución No. SSPD - 20201000009605 del 19 de marzo de 2020 expedida por la Superintendencia de Servicios Públicos Domiciliarios. Adicionalmente, se puede consultar el manual del SURICATA para los prestadores que les aplica la Resolución CRA 825 de 2017 en la siguiente página web: https://sui.superservicios.gov.co/sites/default/files/2022-05/MC_F_011_MANUAL_SURICATA_PEQUE_PRESTADOR_VF%20%281%29.pdf
Finalmente, lo invitamos a inscribirse en el taller virtual de regulación CRA, el cual tiene por objeto, presentar, mediante un material didáctico en línea, conceptos y fundamentos básicos de la regulación y conocimientos prácticos sobre la aplicación de los marcos regulatorios de los servicios públicos de acueducto, alcantarillado y aseo. Usted puede acceder en cualquier momento y de forma gratuita siguiendo el enlace https://virtual.cra.gov.co/
En caso de requerir información adicional y/o asesoría en materia tarifaria, le sugerimos comunicarse con la Subdirección de Regulación, al teléfono en Bogotá: (1) 487 38 20 o a la línea gratuita nacional: 01 8000 51 75 65 y uno de nuestros asesores atenderá sus inquietudes.
Cordial saludo,
MIRIAM SUAREZ BARRETO
Subdirectora de Regulación
<NOTAS DE PIE DE PÁGINA>
1. Sustituido por el artículo 1 de la Ley 1755 de 2015 “Por medio de la cual se regula el derecho fundamental de petición y se sustituye un título del Código de Procedimiento Administrativo y de los Contencioso Administrativo.”
2. “Por la cual se establece la metodología tarifaria para las personas prestadoras de los servicios públicos domiciliarios de acueducto y alcantarillado que atiendan hasta 5.000 suscriptores en el área urbana y aquellas que presten el servicio en el área rural independientemente del número de suscriptores que atiendan”.
3. Artículo 2.1.1.1.3.4.1 Resolución CRA 943 de 2021.
4. Que compila el artículo 5.2.1.2 de la Resolución CRA 151 de 2001, modificado por el artículo 4 de la Resolución CRA 864 de 2018.
5. Que compila el artículo 5.2.1.3 de la Resolución CRA 515 de 2001, modificado por el artículo 4 de la Resolución CRA 864 de 2018.
6. Que compila el artículo 5.2.1.4 de la Resolución 151 de 2001, modificado por el artículo 4 de la Resolución CRA 864 de 2018.
7. Que compila la sección 5.2.2 de la Resolución 151 de 2001, modificada por el artículo 4 de la Resolución CRA 864 de 2018.
8. Que compila la sección 5.2.3 de la Resolución 151 de 2001, modificada por el artículo 4 de la Resolución CRA 864 de 2018
9. Sección 4 del capítulo 2 del Título 7 de la Resolución CRA 943 de 2021 que compila la sección 5.2.4 de la Resolución CRA 151 de 2001 modificada por el artículo 4 de la Resolución CRA 864 de 2018.
10. Parágrafo corregido por el artículo 36 de la Resolución 999 de 2024.
