RESOLUCIÓN 999 DE 2024
(abril 29)
<Fuente: Archivo interno entidad emisora>
Diario Oficial No. 52.750 de 8 de mayo de 2024
COMISIÓN DE REGULACIÓN DE AGUA POTABLE Y SANEAMIENTO BÁSICO - CRA
“Por la cual se realiza la depuración y actualización de la Resolución CRA 943 de 2021 “Por la cual se compila la regulación general de los servicios públicos de acueducto, alcantarillado y aseo, y se derogan unas disposiciones.”
LA COMISIÓN DE REGULACIÓN DE AGUA POTABLE Y SANEAMIENTO BÁSICO
En ejercicio de sus facultades legales, en especial de las conferidas por las Leyes 142 de 1994 y 1437 de 2011, los Decretos 1524 de 1994, 2882 y 2883 de 2007, este último modificado por el Decreto 2412 de 2015, 1077 de 2015 y la Resolución CRA 943 de 2021, y
CONSIDERANDO:
Que el artículo 209 de la Constitución Política de Colombia, establece que: “La función administrativa está al servicio de los intereses generales y se desarrolla con fundamento en los principios de igualdad, moralidad, eficacia, economía, celeridad, imparcialidad y publicidad, mediante la descentralización, la delegación y la desconcentración de funciones. Las autoridades administrativas deben coordinar sus actuaciones para el adecuado cumplimiento de los fines del Estado”;
Que el artículo 365 de la Constitución Política de Colombia, prevé que los servicios públicos son inherentes a la finalidad social del Estado y que es deber del mismo asegurar su prestación eficiente a todos los habitantes del territorio nacional; así mismo, dispone que los servicios públicos domiciliarios estarán sometidos al régimen jurídico que fije la ley, y señala que el Estado mantendrá la regulación, el control y la vigilancia de dichos servicios;
Que el artículo 367 ibídem, determina que la ley fijará las competencias relativas a la prestación de los servicios públicos domiciliarios, su cobertura, calidad y financiación, el régimen tarifario y las entidades competentes para fijar las tarifas;
Que el artículo 370 del ordenamiento constitucional, prevé que corresponde al Presidente de la República señalar, con sujeción a la ley, las políticas generales de administración y control de eficiencia de los servicios públicos domiciliarios;
Que el artículo 68 de la Ley 142 de 1994, establece que el señalamiento de esas políticas se podrá delegar en las Comisiones de Regulación;
Que, en virtud de lo anterior, el Presidente de la República mediante Decreto 1524 de 1994, delegó las funciones presidenciales de señalar políticas generales de administración y control de eficiencia en los servicios públicos domiciliarios, en las Comisiones de Regulación;
Que de conformidad con el artículo 73 de la Ley 142 de 1994, "(…) Las comisiones de regulación tienen la función de regular los monopolios en la prestación de los servicios públicos, cuando la competencia no sea, de hecho, posible; y, en los demás casos, la de promover la competencia entre quienes presten servicios públicos, para que las operaciones de los monopolistas o de los competidores sean económicamente eficientes, no impliquen abuso de la posición dominante, y produzcan servicios de calidad. (...)”;
Que uno de los compromisos adquiridos por Colombia, como miembro de la Organización para la Cooperación y el Desarrollo Económico - OCDE, consiste en mejorar su política regulatoria mediante la implementación de distintas estrategias, entre ellas la depuración y actualización normativa;
Que, como medida para dar cumplimiento al mencionado compromiso del país, en el año 2014 se expidió el Documento CONPES 3816, como una herramienta de política pública que define los lineamientos para sentar las bases de la Política de Mejora Normativa: Análisis de Impacto Normativo (AIN), en el marco de lo cual, se resalta la importancia de llevar a cabo ejercicios de depuración normativa, como mecanismo para simplificar, racionalizar y mantener actualizado el ordenamiento jurídico colombiano. Es así como, el documento CONPES 3816 de 2014, le aporta a la Comisión de Regulación de Agua Potable y Saneamiento Básico, un derrotero claro sobre las actividades que debe adelantar para lograr la depuración de las regulaciones de carácter general que haya expedido;
Que de acuerdo con el artículo 2 de la Ley 2085 de 2021, la depuración normativa se define como un instrumento que permitirá decidir la pérdida de vigencia y derogación de grupos de cuerpos normativos;
Que el Decreto 1609 de 2015, aplicable a las Entidades de la Rama Ejecutiva del Poder Público en el orden nacional, establece directrices generales de técnica normativa el cual tiene como propósito “racionalizar la expedición de decretos y resoluciones, dotar de seguridad jurídica a los destinatarios de la norma, evitar la dispersión y proliferación normativa, así como optimizar los recursos físicos y humanos utilizados en esta actividad, con el propósito de construir un ordenamiento jurídico eficaz, coherente y estructurado a partir de preceptos normativos correctamente formulados”;
Que la depuración normativa se constituye, además, como una estrategia importante dentro de la política de calidad normativa, que posibilita el fortalecimiento del sistema jurídico nacional para brindar un mayor grado de seguridad jurídica a los ciudadanos a través de la claridad y certeza sobre las disposiciones vigentes;
Que con el fin de facilitar el desarrollo de los proyectos de depuración normativa de los Decretos Únicos Reglamentarios de los Sectores de la Administración Pública, la Dirección de Desarrollo del Derecho y del Ordenamiento Jurídico –DDDOJ- del Ministerio de Justicia y del Derecho, diseñó una metodología de depuración normativa, en la cual se establecen los siguientes criterios: (i) Contravención al régimen vigente de nivel constitucional, legal o reglamentario del orden nacional; que hace referencia a normas que objetivamente, a la luz de un riguroso análisis jurídico especializado evidencien, más allá de cualquier duda, que son totalmente incompatibles con la Constitución Política, la Ley o las normas de carácter general y abstracto del orden nacional, (ii) Obsolescencia; que hace referencia a las normas cuyos supuestos de hecho o de derecho, o sus consecuencias jurídicas, no resultan compatibles o aplicables frente a la realidad actual; (iii) Duplicidad Normativa, que se refiere a la existencia de dos o más disposiciones normativas vigentes, que cumplen funciones o tienen efectos, formales o sustanciales, iguales o similares, por cuanto una de ellas se puede considerar como no aplicable o redundante; (iv) Por cumplimiento del objeto de la norma o cesación de efectos jurídicos; relativo a normas que contienen mandatos específicos ya ejecutados, es decir, cuando el precepto ordena que se lleve a cabo un acto o se desarrolle una actividad y el cumplimiento de ésta o aquél ya ha tenido lugar; (v) Por agotamiento del plazo definido en las disposiciones o por ser transitoria; donde se agrupan las disposiciones con vigencia temporal definida, esto es, aquellas disposiciones en cuyo propio texto se estableció el plazo de su vigencia o aquellas disposiciones que eran aplicables durante un periodo de tiempo determinado y este ya finalizó; (vi) Por decaimiento; Que refiere a la imposibilidad de aplicación o perdida de efectos de una norma de rango inferior por la desaparición del marco jurídico de las disposiciones o normas superiores que le sirven de fundamento jurídico para su existencia;
Que la Dirección de Desarrollo del Derecho y del Ordenamiento Jurídico –DDDOJ -del Ministerio de Justicia y del Derecho – MJD, también señaló en la metodología de depuración normativa, que los procesos de depuración pueden servir para detectar algunas disposiciones que no necesitan ser depuradas sino actualizadas o modificadas para optimizar su capacidad de producir los efectos jurídicos y materiales para los cuales fueron expedidos. De esta forma, los procesos de depuración normativa pueden dar lugar al desarrollo de procesos paralelos o concurrentes de actualización u optimización normativa que también pueden coadyuvar a fortalecer el principio constitucional de seguridad jurídica, para lo cual sugiere que en el acto administrativo que ponga fin al proceso se diferencie claramente entre las normas objeto de depuración y las que se actualizan o modifican;
Que en ese sentido, la depuración normativa busca: (i) dar por terminada de forma expresa la vigencia o (ii) hacer visible la pérdida de vigencia de las disposiciones normativas de carácter general y abstracto que se encuentran formalmente vigentes en los decretos únicos de su sector; (iii) mantener incólume la intangibilidad de los efectos jurídicos de las disposiciones que se depuren, y; (iv) detectar qué disposiciones normativas no necesitan ser depuradas sino actualizadas o modificadas para optimizar su capacidad de producir los efectos jurídicos y materiales para los cuales fueron expedidos, caso en el cual, deberán desarrollarse procesos paralelos o concurrentes de actualización u optimización normativa;
Que el artículo 45 de la Ley 1437 de 2011, consagra que, “En cualquier tiempo, de oficio o a petición de parte, se podrán corregir los errores simplemente formales contenidos en los actos administrativos, ya sean aritméticos, de digitación, de transcripción o de omisión de palabras. En ningún caso la corrección dará lugar a cambios en el sentido material de la decisión, ni revivirá los términos legales para demandar el acto. Realizada la corrección, esta deberá ser notificada o comunicada a todos los interesados, según corresponda”;
Que en ejercicio de las facultades atribuidas a la Comisión de Regulación de Agua Potable y Saneamiento Básico - CRA, a través del presente acto administrativo, se depura y actualiza la Resolución CRA 943 de 2021 “Por la cual se compila la regulación general de los servicios públicos de acueducto, alcantarillado y aseo, y se derogan unas disposiciones.”;
Que la Resolución CRA 943 del 29 de abril 2021, fue expedida con el objetivo de compilar las normas generales de carácter regulatorio, que rigen los servicios públicos de acueducto, alcantarillado y aseo, y así contar con un instrumento jurídico que facilitara su consulta;
Que el artículo 2 de la Resolución CRA 945 de 2021, adicionó un considerando a la Resolución CRA 943 de 2021, bajo el entendido de que como el objetivo de la compilación era facilitar su revisión, identificación y consulta, “la regulación y las modificaciones a la misma, se realizarán sobre el texto compilado, de tal manera que se garantice la constante y permanente actualización normativa. Por su parte, los proyectos regulatorios que se encuentran en curso, una vez sean expedidos se integrarán al texto de la resolución compilada”;
Que, en atención a lo anterior, la racionalización y actualización de que trata la presente resolución se efectúa considerando la regulación general vigente al 31 de octubre de 2023, integrada al texto de la Resolución compilatoria CRA 943 de 2021;
Que, en este sentido, las derogatorias, modificaciones y correcciones de que trata la presente resolución se realizan sobre el texto compilado de la Resolución CRA 943 de 2021, de tal manera que se cumpla con el propósito de garantizar su constante y permanente actualización normativa;
Que producto del trabajo de depuración y actualización normativa recogido en esta resolución, fue posible para la Comisión de Regulación de Agua Potable y Saneamiento Básico - CRA identificar que algunas disposiciones, con corte al 31 de octubre de 2023, e integradas al texto de la Resolución compilatoria CRA 943 de 2021 debían ser: i) derogadas expresamente por presentar duplicidad normativa (Artículos 1.3.1, 1.3.4, 1.3.5, 1.3.6, 1.4.2.5, 1.8.2.2, 1.12.2, 1.12.3, 1.14.1, 2.5.1.3, 5.11.3.2.4.2, 5.11.3.2.4.3, y el Título 1 de la Parte 9 del Libro 1); ii) derogadas por incompatibilidad con el régimen constitucional, legal o reglamentario (Titulo 1 de la parte 7 del Libro 2); iii) derogadas por haberse cumplido el término de su vigencia (Artículos 2.1.1.1.6.5, 2.1.1.1.6.6, 2.1.1.1.6.7, 2.1.1.1.6.8, 2.1.2.1.10.8, 2.5.1.1, 2.5.1.2, 2.5.1.5, 2.5.1.6, 2.5.1.8, 2.5.1.9, 2.5.1.10, 2.5.1.12, 2.6.1.4, 2.6.1.6, 5.3.2.7.5, 5.3.5.9.9, 5.3.5.9.10, 5.3.5.9.11 y 5.3.5.9.12); iv) suprimidas por haber sido objeto de derogatoria expresa (el Título 1 de la Parte 2 del Libro 4, el Titulo 6 de la Parte 3 del Libro 5, la Parte 1 del Libro 5, el Titulo 7 de la Parte 3 del Libro 5, la Parte 5 del Libro 5 y Artículo 5.6.1.3); v) derogadas por sufrir decaimiento (Artículo 5.3.4.5); vi) derogadas por cumplimiento o agotamiento de su objeto (Articulo 1.5.3.1 y Subtitulo 4 del Capítulo 10 del Título 2 de la Parte 1 del Libro 2); vii) actualizadas o modificadas según la normatividad vigente (Artículos 1.8.4.1, 1.8.4.2, 1.10.1, 1.12.6, 1.12.8, 1.12.12, 1.13.1.8, 1.13.2.1.1, 1.13.2.1.2, 1.15.3, 1.15.4, 1.18.1, 2.1.1.1.3.4.2, 2.1.1.1.3.4.3, 2.1.1.1.3.4.4, 2.1.1.1.4.4.1, 2.1.2.1.4.3.4, 2.1.2.1.4.7.1 2.1.2.1.9.2, 2.5.1.7, 2.5.1.13, 5.3.5.2.9.1., 5.3.5.3.8.1., 5.3.5.4.8.1., 5.3.5.5.2.2, 5.3.5.5.8.1, 5.3.5.6.8.1 y 6.2.1.1); y viii) corregidas por errores formales (Artículos 1.6.5.3.2.3, 1.8.7.2.1.2, 1.8.7.2.1.4, 2.1.2.1.4.1.4, 2.1.2.1.4.4.1, 2.1.2.2.1, 2.1.2.2.2, 2.1.2.5.2, 5.3.5.4.1.1, 5.3.5.4.2.2, 5.3.5.4.4.1, 5.3.5.4.7.1, 5.3.5.6.5.4, 5.3.5.7.3.1) y el Título 3 de la Parte 8 del Libro 2.
Que la comisión en el “DOCUMENTO DE TRABAJO” que acompaña la presente resolución expone en detalle el análisis técnico/jurídico que se realizó frente a cada uno de los artículos de la Resolución CRA 943 de 2021 objeto de depuración, modificación o corrección, por lo que sirve de sustento a las decisiones que aquí se adoptan;
Que el Capítulo 3, del Título 6, Parte 3, del Libro 2, del Decreto 1077 de 2015, señala las reglas mínimas para garantizar la divulgación y participación en las actuaciones de las Comisiones de Regulación;
Que de conformidad con lo establecido en el artículo 2.3.6.3.3.9. del Decreto 1077 de 2015, el 20 de diciembre de 2023 se publicó en la página web de la Comisión de Regulación de Agua Potable y Saneamiento Básico-CRA, el proyecto de resolución “Por la cual se realiza la depuración y actualización de la Resolución CRA 943 de 2021 “Por la cual se compila la regulación general de los servicios públicos de acueducto, alcantarillado y aseo, y se derogan unas disposiciones.”, junto con el documento de trabajo, con lo cual se dio inicio al proceso de discusión directa con los usuarios, prestadores, gremios y demás agentes del sector e interesados, por el término de veinte (20) días hábiles contados desde el 21 de diciembre de 2023 hasta el 19 de enero de 2024;
Que en ejercicio de la función regulatoria que corresponde a la Comisión de Regulación de Agua Potable y Saneamiento Básico-CRA, y como consecuencia del proceso de participación ciudadana de la resolución referida en el considerando anterior, se recibieron 25 observaciones, reparos o sugerencias, de las cuales se aceptaron el 24%, se aclararon el 40%, se rechazaron el 8% y no hacen parte del proceso objeto de participación 28%;
Que el Comité de Expertos elaboró el “Documento de respuestas a las observaciones recibidas en el proceso de participación ciudadana”, con base en el parágrafo del artículo 2.3.6.3.3.10. del Decreto número 1077 de 2015, en el cual se encuentran contenidas las razones por las cuales se aceptan, aclaran o rechazan las observaciones, reparos y sugerencias formuladas en el marco del proceso de participación ciudadana, documento que sirvió de base para la toma de la decisión definitiva contenida en el presente acto administrativo;
Que de acuerdo con lo establecido en el artículo 7 de la Ley 1340 de 2009, por la cual se dictan normas en materia de protección a la competencia, modificado por el artículo 146 de la Ley 1955 de 2019, la Superintendencia de Industria y Comercio-SIC puede rendir concepto previo sobre los proyectos de regulación que puedan incidir sobre la libre competencia en los mercados, para lo cual las autoridades de regulación informarán a la Superintendencia de Industria y Comercio de los actos administrativos que se pretendan expedir;
Que teniendo en cuenta lo dispuesto en el artículo 5 del Decreto 2897 de 2010, compilado en el Decreto 1074 de 2015, y habiendo diligenciado el cuestionario que para el efecto adoptó la Superintendencia de Industria y Comercio mediante Resolución No. 44649 del 25 de agosto de 2010, se determinó que el contenido del presente acto administrativo no tiene incidencia sobre la libre competencia en los mercados, razón por la cual no fue puesto en conocimiento para efectos de la emisión del concepto de abogacía de la competencia por parte de la Superintendencia de Industria y Comercio;
En mérito de lo expuesto,
RESUELVE:
ARTÍCULO 1o. OBJETO. La presente resolución tiene por objeto derogar disposiciones identificadas como depurables, de conformidad con los criterios de duplicidad normativa; decaimiento; contravención al régimen vigente de nivel constitucional, legal o reglamentario del orden nacional; cumplimiento o agotamiento del objeto para el cual fueron expedidas; cumplimiento del término o la condición resolutoria a la cual ésta estaba condicionada; derogatoria expresa; así como actualizar o modificar algunas disposiciones de la Resolución CRA 943 de 2021 “Por la cual se compila la regulación general de los servicios públicos de acueducto, alcantarillado y aseo, y se derogan unas disposiciones.”
DEPURACIÓN POR EL CRITERIO DE DUPLICIDAD NORMATIVA.
ARTÍCULO 2o. DEPURACIÓN DE NORMAS DE LA RESOLUCIÓN CRA 943 DE 2021 POR EL CRITERIO DE DUPLICIDAD NORMATIVA. Deróguense los artículos 1.3.1, 1.3.4, 1.3.5, 1.3.6, 1.4.2.5, 1.8.2.2, 1.12.2, 1.12.3, 1.14.1, 2.5.1.3, 5.11.3.2.4.2, 5.11.3.2.4.3, y el Título 1 de la Parte 9 del Libro 1 de la Resolución CRA 943 de 2021, por el criterio de duplicidad normativa.
DEPURACIÓN POR EL CRITERIO DE CONTRAVENCIÓN AL RÉGIMEN VIGENTE DE NIVEL CONSTITUCIONAL, LEGAL O REGLAMENTARIO DEL ORDEN NACIONAL.
ARTÍCULO 3o. DEPURACIÓN DE NORMAS DE LA RESOLUCIÓN CRA 943 DE 2021 POR EL CRITERIO DE CONTRAVENCIÓN AL RÉGIMEN VIGENTE DE NIVEL CONSTITUCIONAL, LEGAL O REGLAMENTARIO DEL ORDEN NACIONAL. Deróguese el Título 1 de la Parte 7 del Libro 2 de la Resolución CRA 943 de 2021, por el criterio de contravención al régimen vigente de nivel constitucional, legal o reglamentario del orden nacional.
DEPURACIÓN POR EL CRITERIO DE CUMPLIMIENTO DEL TÉRMINO O LA CONDICIÓN RESOLUTORIA A LA CUAL ÉSTA ESTABA CONDICIONADA.
ARTÍCULO 4o. DEPURACIÓN DE NORMAS DE LA RESOLUCIÓN CRA 943 DE 2021 POR EL CRITERIO DE CUMPLIMIENTO DEL TÉRMINO O LA CONDICIÓN RESOLUTORIA A LA CUAL ÉSTA ESTABA CONDICIONADA. Deróguense los artículos 2.1.1.1.6.5, 2.1.1.1.6.6, 2.1.1.1.6.7, 2.1.1.1.6.8, 2.1.2.1.10.8, 2.5.1.1, 2.5.1.2, 2.5.1.5, 2.5.1.6, 2.5.1.8, 2.5.1.9, 2.5.1.10, 2.5.1.12, 2.6.1.4, 2.6.1.6, 5.3.2.7.5, 5.3.5.9.9, 5.3.5.9.10, 5.3.5.9.11 y 5.3.5.9.12, de la Resolución CRA 943 de 2021, por el criterio de cumplimiento del término o la condición resolutoria a la cual ésta estaba condicionada.
DEPURACIÓN POR EL CRITERIO DE DEROGATORIA EXPRESA.
ARTÍCULO 5o. DEPURACIÓN DE NORMAS DE LA RESOLUCIÓN CRA 943 DE 2021 POR EL CRITERIO DE DEROGATORIA EXPRESA. Suprímanse el Título 1 de la Parte 2 del Libro 4, el Titulo 6 de la Parte 3 del Libro 5, la Parte 1 del Libro 5, el Titulo 7 de la Parte 3 del Libro 5, la Parte 5 del Libro 5 y Artículo 5.6.1.3 de la Resolución CRA 943 de 2021, por el criterio de derogatoria expresa.
DEPURACIÓN POR EL CRITERIO DE DECAIMIENTO.
ARTÍCULO 6o. DEPURACIÓN DE NORMAS DE LA RESOLUCIÓN CRA 943 DE 2021 POR EL CRITERIO DE DECAIMIENTO. Deróguese el artículo 5.3.4.5 de la Resolución CRA 943 de 2021, por el criterio de decaimiento.
DEPURACIÓN POR EL CRITERIO DE CUMPLIMIENTO O AGOTAMIENTO DEL OBJETO PARA EL CUAL FUERON EXPEDIDAS.
ARTÍCULO 7o. DEPURACIÓN DE NORMAS DE LA RESOLUCIÓN CRA 943 DE 2021 POR EL CRITERIO DE CUMPLIMIENTO O AGOTAMIENTO DEL OBJETO PARA EL CUAL FUERON EXPEDIDAS. Deróguense el artículo 1.5.3.1 y el Subtítulo 4 del Capítulo 10 del Título 2 de la Parte 1 del Libro 2 de la Resolución CRA 943 de 2021, por el criterio de cumplimiento o agotamiento del objeto para el cual fueron expedidas.
ACTUALIZACIÓN.
ARTÍCULO 8o. ACTUALIZACIÓN DE LOS ARTÍCULOS 1.8.4.1. Y 1.8.4.2. DE LA RESOLUCIÓN CRA 943 DE 2021. Subróguense los artículos 1.8.4.1. y 1.8.4.2., los cuales quedarán así:
“Artículo 1.8.4.1. Cobro a unidades inmobiliarias cerradas. Para efectos del cobro de los servicios públicos de acueducto, alcantarillado y aseo en las unidades inmobiliarias cerradas, así como en las zonas comunes y espacio público interno de éstas, se aplicará lo consagrado en los artículos 80 y 81 de la Ley 675 de 2001, o aquella que la modifique, adicione, sustituya o derogue.
(Resolución CRA 151 de 2001, art. 1.3.14.1)”
ARTÍCULO 9o. ACTUALIZACIÓN DEL ARTÍCULO 1.10.1. DE LA RESOLUCIÓN CRA 943 DE 2021. Modifíquese el artículo 1.10.1 de la Resolución CRA 943 de 2021, el cual quedará así:
“Artículo 1.10.1. Contribuciones especiales. Para los efectos de la liquidación y recaudo de la contribución especial, se aplicará lo consagrado en el Artículo 85 de la Ley 142 de 1994, o la norma que la modifique, adicione, sustituya o derogue.
(Resolución CRA 151 de 2001, art. 1.3.32.1)”
ARTÍCULO 10. ACTUALIZACIÓN DEL ARTÍCULO 1.12.6. DE LA RESOLUCIÓN CRA 943 DE 2021. Modifíquese el artículo 1.12.6 de la Resolución CRA 943 de 2021, el cual quedará así:
“Artículo 1.12.6. Control social a las personas prestadoras de servicios. Con el fin de permitir el control social a las personas prestadoras de los servicios de agua potable y saneamiento básico, de promover la competencia en la prestación de los mismos y de impedir que las ineficiencias de la gestión se trasladen a los usuarios, las personas prestadoras a las que se refiere esta resolución publicarán, dentro de los tres primeros meses de cada año, con fecha de corte a 31 de diciembre del año inmediatamente anterior y de acuerdo al servicio prestado, como mínimo la información relacionada a continuación:
a. Número de usuarios por servicio, sector y estrato socioeconómico.
b. Número de micromedidores por sector y estrato socioeconómico.
c. Consumo promedio por sector y estrato para el servicio de acueducto.
d. Número de solicitudes de conexión presentadas y atendidas.
e. Valor facturado por servicio, sector y estrato socioeconómico.
f. Variación porcentual de la tarifa en el período respectivo por servicio, sector y estrato.
g. Niveles de subsidio y contribución.
h. Producción promedio de residuos sólidos.
i. Frecuencia de recolección.
j. Niveles de continuidad del servicio.
k. Tiempos de suspensión promedio del servicio de acueducto.
l. Número de quejas formuladas y atendidas.
m. Índice de Pérdidas por Suscriptor Facturado - IPUF del año inmediatamente anterior.
n. Número de trabajadores por cada 1000 usuarios.
o. Índice de Riesgo de Calidad del agua -IRCA.
p. Área de Prestación del Servicio (APS).
q. Cobertura en el APS.
r. Eficiencia en el recaudo.
s. Cargo por Consumo del Servicio Público Domiciliario de Acueducto.
t. Cargo por Consumo del Servicio Público Domiciliario de Alcantarillado.
u. Costo de Tratamiento de Aguas Residuales
v. Costo de Recolección y Transporte de Residuos Sólidos
w. Costo de Disposición Final
x. Tipo de disposición final.
y. Fuentes de abastecimiento que se están utilizando para captar el recurso hídrico.
z. Los indicadores de gestión a que se comprometió y el nivel de cumplimiento de los mismos.
PARÁGRAFO. Las publicaciones a las que se refiere el presente artículo podrán hacerse en forma conjunta con otras que deben hacer las personas prestadoras de los servicios de acueducto, alcantarillado y aseo, en especial con las publicaciones a que hacen referencia los artículos 1.8.6.1 a 1.8.6.4 de la presente resolución o la norma que lo modifique, adicione, sustituya o derogue.
Nota: El literal (z) del presente artículo se encuentra solo vigente para el servicio público de aseo.
(Resolución CRA 151 de 2001, art. 1.3.4.6).”
ARTÍCULO 11. ACTUALIZACIÓN DEL ARTÍCULO 1.12.8. DE LA RESOLUCIÓN CRA 943 DE 2021. Modifíquese el artículo 1.12.8 de la Resolución CRA 943 de 2021, el cual quedará así:
“Articulo 1.12.8. Participación de los usuarios en el control de la gestión contractual. En todos los casos en los cuales las entidades territoriales o las personas prestadoras decidan contratar la prestación de los servicios públicos a que hace referencia la presente resolución, el municipio deberá asegurar, en los términos del numeral 5.2 del Artículo 5 de la Ley 142 de 1994, la participación de los usuarios en la gestión y fiscalización de las personas que presten el servicio, lo cual podrá hacerse a través de los comités de desarrollo y control social de los servicios públicos que deberán conformarse de acuerdo con lo establecido en el Artículo 62 de la Ley 142 de 1994 y en el Capítulo 1 del Título 6 de la Parte 3 del Libro 2 del Decreto 1077 de 2015, o a través de otros mecanismos de participación ciudadana previstos en las disposiciones legales vigentes.
En los contratos que deben celebrarse mediante el procedimiento de licitación, así como en aquellos en que se requiera la aplicación de procedimientos que garanticen la concurrencia de oferentes, la entidad territorial o la prestadora de los servicios a que hace referencia esta resolución dejará una copia al momento de realizar la convocatoria tanto de los pliegos o términos de referencia como de los correspondientes documentos y estudios precontractuales en sus oficinas, para que puedan ser examinados por los comités de desarrollo y control social de los servicios públicos domiciliarios, las veedurías ciudadanas que se constituyan conforme las normas vigentes y demás organismos de control social.
Nota: el artículo 62 de la Ley 142 de 1994 fue modificado por el Artículo 10 de la Ley 689 de 2001.
(Resolución CRA 151 de 2001, art. 1.3.4.8)”
ARTÍCULO 12. ACTUALIZACIÓN DEL ARTÍCULO 1.12.12. DE LA RESOLUCIÓN CRA 943 DE 2021. Modifíquese el artículo 1.12.12 de la Resolución CRA 943 de 2021, el cual quedará así:
“Artículo 1.12.12. Incorporación de proyecciones sobre los valores de los fondos de solidaridad y redistribución de ingresos. En los pliegos o términos de referencia que se elaboren en los procedimientos a través de los cuales se pretenda entregar a un tercero la gestión total o parcial de los servicios objeto de esta regulación, podrán incorporarse las proyecciones sobre los valores que el prestador de los servicios recibiría de los fondos de solidaridad y redistribución de ingresos que están obligados a crear los municipios, de conformidad con lo establecido en el Artículo 89 de la Ley 142 de 1994 y en el Capítulo 1 del Título 4, de la Parte 3, del Libro 2 del Decreto 1077 de 2015 o la norma que los modifique, adicione, sustituya o derogue.
Nota: el Artículo 89 ha sido modificado por el Artículo 7 de la Ley 632 de 2000 y adicionado por el Artículo 1 de la Ley 1215 de 2008.
(Resolución CRA 151 de 2001, art. 1.3.4.12)”
ARTÍCULO 13. ACTUALIZACIÓN DEL ARTÍCULO 1.13.1.8. DE LA RESOLUCIÓN CRA 943 DE 2021. Modifíquese el artículo 1.13.1.8 de la Resolución CRA 943 de 2021, el cual quedará así:
“Artículo 1.13.1.8. Reconexión o reinstalación del servicio. Se entiende que la inclusión de cláusulas que otorguen a la persona prestadora de los servicios de acueducto y alcantarillado plazos indeterminados o excesivamente largos para reconectar o reinstalar el servicio que ha sido cortado o suspendido, implican abuso de posición dominante de acuerdo con lo previsto en el artículo 133, numeral 133.12 de la Ley 142 de 1994. Para estos efectos, se entiende por plazo excesivamente largo aquel establecido en el artículo 42 del Decreto 019 de 2012, o aquella norma que lo modifique, adicione, sustituya o derogue, plazo que se contará desde el momento en que desapareció la causal que dio origen al corte o a la suspensión, que el suscriptor o usuario canceló los gastos de reconexión o reinstalación y satisfizo las demás sanciones impuestas por la persona prestadora.
(Resolución CRA 151 de 2001, art. 1.3.20.8”
ARTÍCULO 14. ACTUALIZACIÓN DEL ARTÍCULO 1.13.2.1.1. DE LA RESOLUCIÓN CRA 943 DE 2021. Modifíquese el artículo 1.13.2.1.1 de la Resolución CRA 943 de 2021, el cual quedará así:
“Artículo 1.13.2.1.1. Aplicación abusiva. En atención a lo establecido en el artículo 1603 del Código Civil, los contratos deben ejecutarse de buena fe y, en el caso de los servicios públicos domiciliarios, deberán interpretarse en atención a lo previsto en el artículo 30 de la Ley 142 de 1994. En tal virtud, es abuso de posición dominante contractual, no sólo la inclusión en un contrato de servicios públicos de las cláusulas prohibidas por el artículo 133 de la Ley 142 de 1994, sino toda conducta, que produzca un efecto igual o similar al que se generaría si se incluyera una de las prohibidas por la ley.
Cuando, pese a la aplicación de las reglas sobre interpretación de los contratos, subsista la ambigüedad en determinada o determinadas condiciones contractuales, en atención a lo previsto en el inciso 2o del artículo 1624 del Código Civil, estas se interpretarán contra el prestador.
Dado que los modelos de contrato de servicios públicos compilados en el Título 6 de la Parte 1 del Libro 6 de la presente resolución, no tienen carácter vinculante, el prestador que los utilice no se exime de la regla establecida en el inciso anterior.
(Resolución CRA 413 de 2006, art. 1)”
ARTÍCULO 15. ACTUALIZACIÓN DEL ARTÍCULO 1.13.2.1.2. DE LA RESOLUCIÓN CRA 943 DE 2021. Modifíquese el artículo 1.13.2.1.2 de la Resolución CRA 943 de 2021, el cual quedará así:
“Artículo 1.13.2.1.2. Uso de la costumbre mercantil. Cuando se haga uso de la costumbre mercantil, el prestador deberá hacérselo saber al suscriptor o usuario respecto del cual se pretenda hacer valer y deberá entregar copia gratuita de los documentos mediante los cuales se pruebe que la conducta reiterada tiene este carácter, en los términos de los artículos 178 y 179 del Código General del Proceso, para quien la solicite.
(Resolución CRA 413 de 2006, art. 2)”
ARTÍCULO 16. ACTUALIZACIÓN DEL ARTÍCULO 1.15.3. DE LA RESOLUCIÓN CRA 943 DE 2021. Modifíquese el artículo 1.15.3 de la Resolución CRA 943 de 2021, el cual quedará así:
“Artículo 1.15.3. Liberación definitiva de las obligaciones derivadas del contrato de servicios públicos. Sin perjuicio de lo establecido en el parágrafo del artículo 130 de la Ley 142 de 1994 y en el artículo 15 de la Ley 820 de 2003, habrá liberación definitiva de las obligaciones derivadas del contrato de servicios públicos en favor del suscriptor que haya tenido el carácter de poseedor sin ser propietario del inmueble, cuando este acredite ante la empresa que, como resultado de una sentencia judicial en firme, fue privado de la posesión del inmueble en el cual se presta el servicio.
En el evento en que, como consecuencia de una sentencia judicial, se obtenga el derecho de dominio o propiedad, se seguirá lo previsto en el artículo 129 de la Ley 142 de 1994, para efectos de la cesión del contrato de servicios públicos en la enajenación de inmuebles urbanos.
La solicitud de liberación definitiva de las obligaciones derivadas del contrato de servicios públicos en favor del suscriptor deberá presentarse por este al prestador junto con copia de la respectiva sentencia en firme, en los términos del artículo 1.15.4 de la presente resolución.
PARÁGRAFO 1. Cuando el suscriptor, como resultado de una sentencia judicial en firme recupere la posesión o la tenencia material del inmueble, confluirán en él los caracteres de suscriptor, usuario y consumidor.
PARÁGRAFO 2. Los efectos de la liberación de las obligaciones contractuales se producirán a partir de la fecha en la cual el suscriptor acredite ante la empresa la ocurrencia de la causal en la forma establecida en esta resolución.
Tanto el suscriptor como la empresa prestadora estarán sujetos a los procedimientos y términos previstos en la ley para tal efecto.
PARÁGRAFO 3. La liberación de las obligaciones por parte del suscriptor, de acuerdo con la causal señalada en este artículo, no implica la extinción de la solidaridad, respecto de obligaciones propias del contrato de servicios públicos, anteriores a tal situación.
Nota: El artículo 130 de la Ley 142 de 1994 fue modificado por el artículo 19 de la Ley 689 de 2001.
(Resolución CRA 478 de 2009, art. 3)”
ARTÍCULO 17. ACTUALIZACIÓN DEL ARTÍCULO 1.15.4. DE LA RESOLUCIÓN CRA 943 DE 2021. Modifíquese el artículo 1.15.4 de la Resolución CRA 943 de 2021, el cual quedará así:
“Artículo 1.15.4. Forma de acreditar la causal constitutiva de liberación de obligaciones contractuales ante la empresa. El suscriptor para efectos de acreditar la liberación de sus obligaciones contractuales tanto temporales como definitivas, deberá presentar ante el prestador:
a) Manifestación de la voluntad en la que exprese su intención de liberarse de las obligaciones contractuales.
b) Los documentos previstos en la presente parte para cada causal de liberación, temporal o definitiva, según sea el caso.
c) Indicación del número de cuenta o de contrato y dirección del bien inmueble en el cual se presta el servicio, respecto del cual el suscriptor solicita la liberación.
d) Nombre e identificación del usuario - consumidor.
PARÁGRAFO. Cuando quiera que no se den los elementos consagrados en el numeral 2 del artículo 82 del Código General del Proceso, que imposibiliten determinar la persona contra quien se dirigirá la demanda, se informará dicha situación y no será necesario presentar la información contenida en el literal d) del presente articulado.
(Resolución CRA 478 de 2009, art. 4).”
ARTÍCULO 18. ACTUALIZACIÓN DEL ARTÍCULO 1.18.1. DE LA RESOLUCIÓN CRA 943 DE 2021. Modifíquese el artículo 1.18.1 de la Resolución CRA 943 de 2021, el cual quedará así:
“Artículo 1.18.1. Cumplimiento de la normatividad vigente. Las personas prestadoras de los servicios públicos domiciliarios de acueducto, alcantarillado y aseo para atender el pago de las obligaciones pensionales a su cargo y a favor de los trabajadores que ya estuvieren vinculados el 11 de julio de 1994, deben dar cumplimiento a lo establecido por el Decreto 4565 de 2010 o la norma que lo modifique, adicione, sustituya o derogue.
(Resolución CRA 151 de 2001, art. 1.3.16.1).
ARTÍCULO 19. ACTUALIZACIÓN DEL ARTÍCULO 2.1.1.1.3.4.2. DE LA RESOLUCIÓN CRA 943 DE 2021. Modifíquese el artículo 2.1.1.1.3.4.2 de la Resolución CRA 943 de 2021, el cual quedará así:
“Artículo 2.1.1.1.3.4.2. Criterios para la definición de los activos actuales. Los activos actuales de los sistemas de acueducto y alcantarillado se definirán teniendo en cuenta los siguientes criterios:
- Deberán incluirse todos aquellos activos afectos a la prestación del servicio que se encuentren en uso al día anterior a la fecha de inicio de aplicación de las tarifas resultantes de la presente metodología tarifaria.
- No se tendrán en cuenta los activos aportados bajo la condición de que su valor no se incluya en el cálculo de las tarifas que hayan de cobrarse a los usuarios, conforme lo estipula el artículo 87.9 de la Ley 142 de 1994 o la norma que lo modifique, adicione, sustituya o derogue. En todo caso, la persona prestadora deberá identificar dentro de los activos en uso que opera el valor de los activos aportados bajo condición.
- Se exceptúan del cálculo del VA los activos entregados por urbanizadores y constructores.
- El valor de los activos actuales de los sistemas de acueducto y alcantarillado se determinará de acuerdo con el valor registrado en los estados financieros, depreciado hasta el día anterior a la fecha de inicio de aplicación de las tarifas resultantes de la presente metodología tarifaria y ajustado por inflación a pesos de diciembre del año base, sin incluir valorizaciones.
- En el caso que no sea posible valorar los activos afectos a la prestación del servicio por medio de la información contable podrá determinarlos con una valoración técnica, teniendo en cuenta lo establecido en el numeral 6.2.1.4 del Libro 6 de la presente resolución.
- Las personas prestadoras que cuenten con una valoración de activos respecto de la cual la Comisión de Regulación de Agua Potable y Saneamiento Básico – CRA dispuso su aceptación mediante acto administrativo antes de la entrada en vigencia de la Resolución CRA 825 de 2017 que aquí se compila, deberán tomarla para efectos de calcular el valor por cobrar de los activos actuales, ajustándola de la siguiente manera:
(i) Se deberá adicionar a la valoración, el valor de los activos que entraron en operación entre el año base de la valoración y el día anterior a la fecha de inicio de aplicación de las tarifas resultantes de la presente metodología tarifaria.
(ii) Se deberán restar las bajas de activos y las depreciaciones correspondientes a ese período, tanto de los activos existentes como de los activos incorporados, e indexar cada uno de los valores de los activos, de acuerdo a la fecha que corresponda, para llevar toda la valoración de activos a pesos de diciembre del año base.
- En los terrenos únicamente se reconocerá la rentabilidad sobre el valor de adquisición, actualizado en pesos de diciembre de 2016, sin incluir valorizaciones.
- No se podrá incluir dentro del valor de los activos actuales, activos relacionados con actividades no operativas, entendidas estas como todas aquellas que no guarden relación directa con la prestación de los servicios públicos domiciliarios de acueducto y alcantarillado
- Solo se permitirá la inclusión del valor de los activos ambientales en los casos que determine la ley, esto es, en aquellos casos que sea responsabilidad de la persona prestadora de los servicios públicos domiciliarios de acueducto y alcantarillado y que no corresponda a la competencia de otra entidad.
Nota: El artículo 99 de la Ley 1450 de 2011 modificó el artículo 87.9 de la Ley 142 de 1994, el cual según el artículo 336 de la Ley 1955 de 2019 permanece vigente.
(Resolución CRA 825 de 2017, art. 21) (modificado por la Resolución CRA 844 de 2018, art. 6).”
ARTÍCULO 20. ACTUALIZACIÓN DEL ARTÍCULO 2.1.1.1.3.4.3. DE LA RESOLUCIÓN CRA 943 DE 2021. Modifíquese el artículo 2.1.1.1.3.4.3 de la Resolución CRA 943 de 2021, el cual quedará así:
“Artículo 2.1.1.1.3.4.3. Inversiones para expansión, reposición y rehabilitación de los sistemas de acueducto o alcantarillado. Las inversiones de los sistemas de acueducto o alcantarillado corresponderán a aquellas que serán realizadas por las personas prestadoras para mejorar la cobertura, calidad, continuidad y las necesarias para la reposición y rehabilitación de los sistemas. Estas deberán estar orientadas hacia alguna(s) de la(s) dimensión(es) del servicio que a continuación se establecen y harán parte de la clasificación de activos del numeral 6.2.1.2 de la Parte 2 del Título 1 del Libro 6 de la presente resolución:
| Dimensión del servicio | Objetivo del Proyecto | Indicador |
| Cobertura para los servicios de acueducto y de alcantarillado. | Proyectos en redes que incorporan nuevos suscriptores | Nuevos suscriptores |
| Calidad del agua para los servicios de acueducto y de alcantarillado. | Proyectos en plantas de tratamiento de agua potable o de aguas residuales que mejoran los niveles de calidad de agua | IRCA o Cumplimiento del PSMV |
| Continuidad para los servicios de acueducto y de alcantarillado. | Proyectos no incluidos en los grupos anteriores | Días sin servicio al año |
PARÁGRAFO 1. Para definir las inversiones proyectadas, las personas prestadoras deberán realizar un ejercicio de planeación identificando para cada una de ellas un objetivo claro, preciso y cuantificable en los términos de los indicadores mencionados por dimensión en el presente artículo. Las personas prestadoras deberán identificar el valor del indicador de cada una de las dimensiones a la entrada en vigencia de la Resolución CRA 825 de 2017 que aquí se compila y el valor de los indicadores por dimensión en cada uno de los años del período tarifario con el fin de determinar los avances logrados con la ejecución de las inversiones realizadas.
PARÁGRAFO 2. Las personas prestadoras del servicio público domiciliario de acueducto pertenecientes al primer segmento que no cuenten con instrumentos de medición de caudal a la entrada de aplicación de la fórmula tarifaria conforme a lo definido en el artículo 2.1.1.1.6.3 del presente Título, deberán incluir dentro de sus inversiones los costos asociados a la adquisición de instrumentos de medición de caudal a la salida de las plantas de tratamiento o a la salida de los tanques de almacenamiento, de conformidad con lo establecido en el artículo 73 de la Resolución 0330 del 8 de junio de 2017 del Ministerio de Vivienda, Ciudad y Territorio, o aquella que la modifique, adicione, sustituya o derogue, en lo relacionado con la macromedición. Lo anterior sin perjuicio de las acciones de control y vigilancia ejercidas por la Superintendencia de Servicios Públicos Domiciliarios - SSPD.
PARÁGRAFO 3. Solo podrán incluirse las inversiones que estén dirigidas a la reducción de pérdidas técnicas.
PARÁGRAFO 4. En el caso de las inversiones ambientales solo se permitirá la inclusión de aquellas que determine la ley, esto es, las que sea responsabilidad de la persona prestadora de los servicios públicos domiciliarios de acueducto y alcantarillado y que no corresponda a la competencia de otra entidad. De igual forma, se permitirá la recuperación de las inversiones que sean responsabilidad de la persona prestadora por decisiones o mandatos de las autoridades judiciales. En todo caso, deberá quedar a disposición de la Superintendencia de Servicios Públicos Domiciliarios - SSPD el acto administrativo con el que la autoridad competente ordenó dichas inversiones.
Nota: El artículo 73 de la Resolución 330 de 2017 fue modificado por el artículo 19 de la Resolución 799 de 2021.
(Resolución CRA 825 de 2017, art. 22).”
ARTÍCULO 21. ACTUALIZACIÓN DEL ARTÍCULO 2.1.1.1.3.4.4. DE LA RESOLUCIÓN CRA 943 DE 2021. Modifíquese el artículo 2.1.1.1.3.4.4 de la Resolución CRA 943 de 2021, el cual quedará así:
“Artículo 2.1.1.1.3.4.4. Aportes bajo condición. Si durante el período tarifario las personas prestadoras reciben aportes bajo condición de los que trata el artículo 87.9 de la Ley 142 de 1994 o la norma que lo modifique, adicione, sustituya o derogue, que reemplace un proyecto incluido en el plan de inversiones con el que cálculo el Costo Medio de Inversión de los servicios públicos domiciliarios de acueducto y alcantarillado
, deberán sustituir dicha inversión por otra del mismo valor, teniendo en cuenta lo definido en el artículo 11 de la Resolución 0330 del 8 de junio de 2017 del Ministerio de Vivienda, Ciudad y Territorio, o aquella que la modifique, adicione, sustituya o derogue.
En el caso de las personas prestadoras que les sea imposible reemplazar dicha inversión podrán descontar el valor total o parte del aporte, para lo cual deberán recalcular el Costo Medio de Inversión
), según la alternativa seleccionada. En este evento deberán devolver a los suscriptores los valores recaudados correspondientes al activo o porción de éste que no fue posible reemplazar, sin perjuicio de las acciones de vigilancia y control a que haya lugar por parte de la Superintendencia de Servicios Públicos Domiciliarios - SSPD.
PARÁGRAFO. Una vez aportado el activo y optado por alguna de las opciones anteriores, las personas prestadoras deberán informar dicha situación a la Superintendencia de Servicios Públicos Domiciliarios – SSPD y a la Comisión de Regulación de Agua Potable y Saneamiento Básico - CRA.
Nota: El artículo 11 de la Resolución 330 de 2017 fue modificado por el artículo 4 de la Resolución 799 de 2021. El artículo 87.9 de la Ley 142 de 1994 fue modificado por el Art. 8 del Decreto 819 de 2020, parcialmente por el Artículo 99 de la Ley 1450 de 2011 y parcialmente por el Artículo 143 de la Ley 1151 de 2007.
(Resolución CRA 825 de 2017, art. 23).”
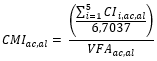
ARTÍCULO 22. ACTUALIZACIÓN DEL ARTÍCULO 2.1.1.1.4.4.1. DE LA RESOLUCIÓN CRA 943 DE 2021. Modifíquese el artículo 2.1.1.1.4.4.1 de la Resolución CRA 943 de 2021, el cual quedará así:
“Artículo 2.1.1.1.4.4.1. Costo medio de inversión para las personas prestadoras del segundo segmento. Las personas prestadoras del segundo segmento que decidan calcular el CMI podrán utilizar la fórmula establecida para el primer segmento en el artículo 2.1.1.1.3.4.1 del presente Título o podrán aplicar la siguiente fórmula:

Donde:
| Costo Medio de Inversión para cada uno de los servicios públicos domiciliarios de acueducto y alcantarillado expresado en pesos de diciembre del año 2016 por metro cúbico. | |
| Valor de las inversiones que identifica las personas prestadoras para un período de cinco (5) años encaminadas a mejorar la cobertura, calidad, continuidad y las necesarias para la reposición y rehabilitación de los sistemas. | |
| Factor de anualidad promedio de los activos. | |
| Volumen Facturado del Año base para cada uno de los servicios públicos domiciliarios de acueducto y alcantarillado expresado en metros cúbicos. El volumen facturado para el servicio público domiciliario de alcantarillado corresponderá al volumen facturado del servicio público domiciliario de acueducto más el estimativo de la disposición de aguas residuales de aquellos usuarios que posean fuentes alternas o adicionales de abastecimiento de agua que viertan al alcantarillado. | |
| Cada uno de los cinco (5) años contados a partir de entrada en vigencia de la fórmula tarifaria, establecida en el presente Subtítulo en el artículo 2.1.1.1.6.3 del presente Título. |
PARÁGRAFO 1. En todo caso las personas prestadoras del segundo segmento deberán reportar a la Superintendencia de Servicios Públicos Domiciliarios – SSPD en la periodicidad y el formato que ella determine, la ejecución anual de las inversiones que se incluyan en el cálculo del Costo Medio de Inversión de los servicios públicos domiciliarios de acueducto y alcantarillado definido el presente artículo.
PARÁGRAFO 2. Las personas prestadoras del servicio público domiciliario de acueducto pertenecientes al segundo segmento que no cuenten con instrumentos de medición de caudal a la entrada de aplicación de la fórmula tarifaria conforme a lo definido en el artículo 2.2.1.6.4 del presente Título, deberán incluir dentro de sus inversiones los costos asociados a la adquisición de instrumentos de medición de caudal a la salida de las plantas de tratamiento o a la salida de los tanques de almacenamiento, de conformidad con lo establecido en el artículo 73 de la Resolución 0330 del 8 de junio de 2017 del Ministerio de Vivienda, Ciudad y Territorio, o la norma que lo modifique, adicione, sustituya o derogue, en lo relacionado con la macromedición. Lo anterior sin perjuicio de las acciones de control y vigilancia ejercidas por la Superintendencia de Servicios Públicos Domiciliarios – SSPD.
PARÁGRAFO 3. Si durante el período tarifario las personas prestadoras del segundo segmento reciben aportes bajo condición de los que trata el artículo 87.9 de la Ley 142 de 1994 o la norma que lo modifique, adiciones, sustituya o derogue, que reemplace un proyecto incluido en el plan de inversiones con el que calculó el Costo Medio de Inversión de los servicios públicos domiciliarios de acueducto y alcantarillado
deberán sustituir dicha inversión por otra del mismo valor, teniendo en cuenta lo definido en el artículo 11 de la Resolución 0330 del 8 de junio de 2017 del Ministerio de Vivienda, Ciudad y Territorio, o la norma que lo modifique, adicione, sustituya o derogue.
En el caso de las personas prestadoras que les sea imposible reemplazar dicha inversión podrán descontar el valor total o parte del aporte, para lo cual deberán recalcular el Costo Medio de Inversión
. En este evento deberán devolver a los suscriptores los valores recaudados correspondientes al activo o porción de éste que no fue posible reemplazar, sin perjuicio de las acciones de vigilancia y control a que haya lugar por parte de la Superintendencia de Servicios Públicos Domiciliarios - SSPD.
Una vez aportado el activo y optado por alguna de las opciones anteriores, las personas prestadoras deberán informar dicha situación a la Superintendencia de Servicios Públicos Domiciliarios – SSPD y a la Comisión de Regulación de Agua Potable y Saneamiento Básico - CRA.
PARÁGRAFO 4. En los terrenos únicamente se reconocerá la rentabilidad sobre el valor de adquisición, actualizado en pesos de diciembre de 2016, sin incluir valorizaciones.
Nota: El artículo 11 de la Resolución 330 de 2017 fue modificado por el artículo 4 de la Resolución 799 de 2021. El artículo 73 de la Resolución 330 de 2017 fue modificado por el artículo 19 de la Resolución 799 de 2021.
(Resolución CRA 825 de 2017, art. 29) (corregido por la Resolución CRA 834 de 2018, art. 1) (adicionado por la Resolución CRA 844 de 2018, art. 10).”
ARTÍCULO 23. ACTUALIZACIÓN DEL ARTÍCULO 2.1.2.1.4.3.4 DE LA RESOLUCIÓN CRA 943 DE 2021. Modifíquese el artículo 2.1.2.1.4.3.4 de la Resolución CRA 943 de 2021, el cual quedará así:
“Artículo 2.1.2.1.4.3.4. Base de capital regulada del año base. (
) La base de capital regulada del año base para los servicios públicos domiciliarios de acueducto y alcantarillado se define de acuerdo con la siguiente expresión:

Donde:
| Base de capital regulada del año base estimada al día anterior a la fecha de inicio de la aplicación de la metodología tarifaria (expresada en pesos de diciembre del año 2014) para cada servicio público domiciliario | |
| Valor por cobrar de los activos o los proyectos z construidos con el plan de inversiones de la Resolución CRA 287 de 2004 ( | |
| Valor por cobrar del activo j afecto a la prestación del servicio que se encuentra en funcionamiento al día anterior a la fecha de inicio de aplicación de las tarifas resultantes de la presente metodología tarifaria, diferentes al valor de las inversiones ejecutadas a partir de los planes de inversión de la Resolución CRA 287 de 2004 ( | |
| Cada uno de los activos que hace parte de la BCR0 al día anterior a la fecha de inicio de aplicación de las tarifas resultantes de la presente metodología tarifaria, y son diferentes a los ejecutados a partir del plan de inversiones de la Resolución CRA 287 de 2004 ( | |
| Cada uno de los activos o proyectos ejecutados por el prestador al día anterior a la fecha de inicio de aplicación de las tarifas resultantes de la presente metodología tarifaria, y son del plan de inversiones de la Resolución CRA 287 de 2004 ( | |
| Número total de activos que hacen parte de la BCR0 al día anterior a la fecha de inicio de aplicación de las tarifas resultantes de la presente metodología tarifaria, y son diferentes a los ejecutados a partir del plan de inversiones de la Resolución CRA 287 de 2004 ( | |
| Número total de los activos o proyectos ejecutados por el prestador al día anterior a la fecha de inicio de aplicación de las tarifas resultantes de la presente metodología tarifaria, y son del plan de inversiones de la Resolución CRA 287 de 2004 ( |
PARÁGRAFO 1. La base de capital regulada del año base (BCR0) incluye todos los activos en uso afectos a la prestación del servicio, exceptuando los activos aportados bajo la condición de que su valor no se incluya en el cálculo de las tarifas que hayan de cobrarse a los usuarios, conforme lo estipula el artículo 87.9 de la Ley 142 de 1994 o la norma que lo modifique, adicione, sustituya o derogue. En todo caso la persona prestadora deberá identificar dentro de los activos afectos en uso que opera, el valor de los activos aportados bajo condición. También se exceptúan de la BCR0 los activos entregados por urbanizadores y constructores.
PARÁGRAFO 2. En el evento en que existan activos aportados bajo condición, así como activos entregados por urbanizadores y/o constructores, con el fin de garantizar la rehabilitación y reposición de los mismos, la persona prestadora podrá incluir en el POIR su reposición y rehabilitación, teniendo en cuenta las necesidades del servicio o lo pactado en el contrato.
PARÁGRAFO 3. En los contratos que celebre la persona prestadora para el uso y goce de los activos de terceros que se incluyen en la BCR, deberán pactarse claramente las condiciones referentes a la remuneración (rentabilidad del capital invertido y recuperación de capital) del propietario de los activos, así como las condiciones para su rehabilitación y reposición.
PARÁGRAFO 4. El valor por cobrar del activo j afecto a la prestación del servicio
, se determinará de acuerdo con uno de los siguientes métodos: i) El valor registrado en los estados financieros, depreciado hasta el día anterior a la fecha de inicio de aplicación de las tarifas resultantes de la presente metodología tarifaria, ajustado por inflación a diciembre de 2014, sin incluir valorizaciones o ii) Con una valoración técnica, realizada según lo establecido numeral 6.2.2.1.4. del Capítulo 1 del Título 2 de la Parte 2 del Libro 6 de la presente resolución y depreciada hasta el día anterior a la fecha de inicio de aplicación de las tarifas resultantes de la presente metodología tarifaria, expresada en pesos de diciembre de 2014, con base en las condiciones de vida útil y método de depreciación utilizados en la vigencia de las tarifas de la Resolución CRA 287 de 2004. A partir de la fecha de aplicación de las tarifas resultantes del presente Título, el cálculo de la rentabilidad se realizará con base en la tasa de descuento, vidas útiles y método de depreciación lineal del presente marco tarifario.
PARÁGRAFO 5. Las personas prestadoras que cuenten con una valoración de activos respecto de la cual la Comisión de Regulación de Agua Potable y Saneamiento Básico dispuso su aceptación mediante acto administrativo antes de la entrada en vigencia de las tarifas resultantes de la Resolución CRA 688 de 2014, deberán tomarla para efectos de calcular el valor por cobrar de cada uno de los activos afectos a la prestación del servicio, ajustándola de la siguiente manera:
i. Adicionar el valor de los activos que entraron en operación entre el año base de la valoración y la fecha de inicio de aplicación de las tarifas resultantes de la metodología tarifaria definida en el presente Título, diferentes de las inversiones ejecutadas con base en los planes de inversiones de la Resolución CRA 287 de 2004.
ii. Restar las bajas de activos y las depreciaciones hasta el día anterior a la fecha de inicio de aplicación de las tarifas resultantes de la presente metodología tarifaria, tanto de los activos existentes como de los activos incorporados.
iii. Indexar cada uno de los valores de los activos, de acuerdo a la fecha que corresponda, para llevar toda la valoración de activos a pesos de diciembre del año 2014.
PARÁGRAFO 6. La BCR deberá ser calculada por APS, por lo anterior las personas prestadoras que atiendan con un mismo sistema interconectado dos o más APS, deberán calcular separadamente la BCR de cada APS incluyendo por una parte, el valor asignado a cada APS de los activos compartidos y por otra parte el valor de los activos no compartidos que le correspondan a cada APS. Para realizar la asignación podrá utilizar el criterio que considere más idóneo o, en su defecto podrá utilizar el número de suscriptores atendidos o el volumen de metros cúbicos facturados en cada APS, entre otros. En todo caso, el criterio utilizado deberá quedar a disposición de la Comisión de Regulación de Agua Potable y Saneamiento Básico y de la Superintendencia de Servicios Públicos Domiciliarios.
PARÁGRAFO 7. En el caso que la persona prestadora hubiese optado por calcular los costos de prestación unificados del sistema interconectado, deberá realizar el cálculo de la BCR de forma unificada teniendo en cuenta que el Plan de Obras e Inversiones Regulado – POIR deberá proyectarse para cada APS, incluyendo los proyectos que la persona prestadora considera necesario llevar a cabo para disminuir las diferencias frente a los estándares de servicio de cada APS.
PARÁGRAFO 8. Las personas prestadoras no podrán incluir dentro de la BCR0 los activos incluidos en el CMA y en el CMO.
Nota: La Resolución CRA 287 de 2004 fue derogada por la Resolución CRA 825 de 2017.
Nota: El artículo 99 de la Ley 1450 de 2011 modificó el artículo 87.9 de la Ley 142 de 1994, el cual según el artículo 336 de la Ley 1955 de 2019 permanece vigente.
(Resolución CRA 688 de 2014, art. 46) (modificado y adicionado por la Resolución CRA 735 de 2015, art. 15”
ARTÍCULO 24. ACTUALIZACIÓN DEL ARTÍCULO 2.1.2.1.4.7.1. DE LA RESOLUCIÓN CRA 943 DE 2021. Modifíquese el artículo 2.1.2.1.4.7.1 de la Resolución CRA 943 de 2021, el cual quedará así:
“ARTÍCULO 2.1.2.1.4.7.1. ACTUALIZACIÓN DE LOS COSTOS. Para actualizar los costos de referencia, al momento de aplicación de la metodología tarifaria definida en esta resolución, las personas prestadoras deberán proceder de la siguiente manera:
![]()
Donde:
Se refiere al costo de referencia con el cual la persona prestadora empezará a aplicar la metodología de cálculo establecida en el presente Título, actualizado con el último Índice de Precios al Consumidor - IPC publicado por el DANE, expresado en términos unitarios.
Se refiere al costo de referencia resultante de la aplicación de la presente metodología para cada uno de los componentes de los servicios públicos domiciliarios de acueducto y alcantarillado, el cual está expresado en pesos de diciembre del año base.
Factor de Actualización al momento en que la persona prestadora empezará a aplicar la metodología de cálculo establecida en el presente Título, utilizando el último IPC publicado por el DANE. Este factor será calculado de la siguiente manera:
![]()
Donde:
IPC reportado por el DANE en el mes seleccionado por la persona prestadora, para efectos de realizar la actualización por concepto de IPC (mes final).
IPC reportado por el DANE correspondiente al último mes en el cual se realizó la actualización por concepto de IPC o aquel que la persona prestadora seleccione como mes base para la actualización, el cual no podrá ser anterior al momento en el que se aplicó la última indexación.
PARÁGRAFO 1. La aplicación del IPC se sujetará a lo establecido en el artículo 125 de la Ley 142 de 1994. Para la estimación del factor de actualización, se utilizará el IPC expresado de acuerdo con la base definida por el DANE vigente al momento de expedición de la presente resolución, redondeado a dos (2) decimales. El factor de actualización obtenido (
) deberá ser redondeado a cuatro (4) decimales y las operaciones resultantes de la fórmula de actualización de costos de referencia serán redondeadas a dos (2) decimales.
PARÁGRAFO 2. Cada vez que las personas prestadoras reajusten sus costos deberán cumplir con las disposiciones contenidas en el Título 6 de la Parte 8 del Libro 1 de esta resolución, o la norma que la modifique, adicione o derogue, en relación con el reporte de las variaciones tarifarias.
PARÁGRAFO 3. Se deberán excluir de la actualización de los costos de referencia, los costos medios generados de tasas ambientales definidos en el ARTÍCULO 2.1.2.1.4.4.1 y en el ARTÍCULO 2.1.2.1.4.4.2 de la presente resolución.
(Resolución CRA 688 de 2014, art. 58).”
ARTÍCULO 25. ACTUALIZACIÓN DEL ARTÍCULO 2.1.2.1.9.2 DE LA RESOLUCIÓN CRA 943 DE 2021. Modifíquese el artículo 2.1.2.1.9.2 de la Resolución CRA 943 de 2021, el cual quedará así:
“Artículo 2.1.2.1.9.2. Seguimiento de las metas para los indicadores. El seguimiento al cumplimiento de las metas propuestas para cada uno de los indicadores de servicio y de eficiencia, se hará de acuerdo con la periodicidad que se establezca en el esquema de reporte de información definido por la Superintendencia de Servicios Públicos Domiciliarios, quien hará públicos los resultados del seguimiento a las metas para los indicadores de eficiencia y de servicio.
Las personas prestadoras deberán reportar la información correspondiente a las metas de los indicadores de acuerdo con la siguiente tabla:
| INDICADOR | UNIDAD | META DEL ESTANDAR (ARTÍCULO 2.1.2.1.1.9) | LINEA BASE AÑO CERO | META AÑO 1 | … | META AÑO 10 | REFERENCIA PARA EL CÁLCULO DE LA META Y DEL INDICADOR |
| Nuevos suscriptores residenciales de acueducto. | Suscriptores | ARTÍCULO 2.1.2.1.2.1.2 | |||||
| ICUFi - Índice de Agua Consumida por Usuario Facturado Acueducto. | (m3/suscriptor/mes) | ARTÍCULO 2.1.2.1.2.2.2 | |||||
| Nuevos suscriptores residenciales de alcantarillado. | Suscriptores | ARTÍCULO 2.1.2.1.2.1.2 | |||||
| ICUFi - Índice de Agua Consumida por Usuario Facturado Alcantarillado. | (m3/suscriptor/mes) | ARTÍCULO 2.1.2.1.2.2.2 | |||||
| DACALi- Diferencia entre suscriptores de Acueducto y Alcantarillado. | Suscriptores | Metas anuales definidas por la persona prestadora con base en el POIR | |||||
| IPUFi - Índice de Pérdidas por Usuario Facturado. | (m3/suscriptor/mes) | ARTÍCULO 2.1.2.1.2.2.4 ARTÍCULO 2.1.2.1.2.2.5 | |||||
| ISUFi - Índice de Suministro por Usuario Facturado. | (m3/suscriptor/mes) | ARTÍCULO 2.1.2.1.2.2.1 | |||||
| CAUi – costos administrativos eficientes estándar por suscriptor mensual de acueducto. | (m3/suscriptor/mes) | ARTÍCULO 2.1.2.1.4.1.4 ARTÍCULO 2.1.2.1.4.1.6 | |||||
| CAUi –costos administrativos eficientes estándar por suscriptor mensual de alcantarillado. | (m3/suscriptor/mes) | ARTÍCULO 2.1.2.1.4.1.4 ARTÍCULO 2.1.2.1.4.1.6 | |||||
| COUi –costos operativos eficientes estándar por suscriptor mensual de acueducto. | (m3/suscriptor/mes) | ARTÍCULO 2.1.2.1.4.2.4 ARTÍCULO 2.1.2.1.4.2.6 | |||||
| COUi –costos operativos eficientes estándar por suscriptor mensual de alcantarillado. | (m3/suscriptor/mes) | ARTÍCULO 2.1.2.1.4.2.4 ARTÍCULO 2.1.2.1.4.2.6 | |||||
| CUP - Costos Unitarios Particulares acueducto. | ($/m3) | CUP ARTÍCULO 2.1.2.1.4.2.10 ARTÍCULO 2.1.2.1.4.2.11 | |||||
| CUP - Costos Unitarios Particulares alcantarillado. | ($/m3) | ICUP ARTÍCULO 2.1.2.1.4.2.9 ARTÍCULO 2.1.2.1.4.2.12 | |||||
| IQR - Indicador de reclamos comerciales. | (reclamos/1.000 suscriptores/periodo de tiempo analizado) | ARTÍCULO 2.1.2.1.7.4.1 | |||||
| Cobertura de acueducto (Viviendas geo-referenciadas) | Nuevos suscriptores del servicio de acueducto | ARTÍCULO 2.1.2.1.2.1.2 | |||||
| Calidad de acueducto | Puntaje IRCA (%) | ARTÍCULO 2.1.2.1.1.9 | |||||
| Continuidad de acueducto | Días de prestación del servicio/ días totales del año | ARTÍCULO 2.1.2.1.1.9 | |||||
| Cobertura de alcantarillado (Viviendas geo-referenciadas) | Nuevos suscriptores del servicio de alcantarillado | ARTÍCULO 2.1.2.1.2.1.2 | |||||
| Calidad de alcantarillado | % de cumplimiento del PSMV | ARTÍCULO 2.1.2.1.1.9 | |||||
| Continuidad de alcantarillado | Días de prestación del servicio/ días totales del año | ARTÍCULO 2.1.2.1.1.9 | |||||
Para el cálculo de los costos de referencia se deben definir las metas anuales para los años 1 a 10, teniendo en cuenta los estándares de eficiencia establecidos en el presente Título.
Para las metas cuyo resultado eficiente debe aumentar el indicador de cumplimiento será:
![]()
Cuando el resultado eficiente es disminuir el indicador se calculará:
![]()
PARÁGRAFO: Los indicadores que no puedan ser calculados por falta de reporte de información por parte de la persona prestadora, se entenderán como incumplidos, sin perjuicio de las acciones a que haya lugar por parte de la Superintendencia de Servicios Públicos Domiciliarios.
(Resolución CRA 688 de 2014, art. 107) (modificado por la Resolución CRA 906 de 2019, art. 29).”
ARTÍCULO 26. ACTUALIZACIÓN DEL ARTÍCULO 2.5.1.7 DE LA RESOLUCIÓN CRA 943 DE 2021. Modifíquese el artículo 2.5.1.7 de la Resolución CRA 943 de 2021, el cual quedará así:
“Artículo 2.5.1.7. Alternativas a la micromedición. Cuando los análisis económicos demuestren su conveniencia, las personas prestadoras de servicios podrán utilizar como mecanismo de medición y racionalización de consumos, los reguladores de caudal u otros instrumentos o medios con los cuales se logre el mismo fin. A estas alternativas se les aplicará la misma política de financiamiento definida en el artículo 2.3.1.3.2.3.12 del Decreto 1077 de 2015, o la norma que lo modifique, adicione, sustituya o derogue.
(Resolución CRA 151 de 2001, art. 2.1.1.7).”
ARTÍCULO 27. ACTUALIZACIÓN DEL ARTÍCULO 2.5.1.13 DE LA RESOLUCIÓN CRA 943 DE 2021. Modifíquese el artículo 2.5.1.13 de la Resolución CRA 943 de 2021, el cual quedará así:
“Artículo 2.5.1.13. Excepción para la instalación de micromedidores. En las zonas del área de prestación del servicio (APS) de acueducto o el Área de Prestación del Servicio – APS, conformadas en su mayoría por usuarios de estratos 1 y 2 y que a la fecha de entrada en vigencia de la Resolución CRA 364 de 2006 presenten niveles de micromedición inferiores al 50% de los usuarios pertenecientes a las mismas, las personas prestadoras, en lugar de instalar micromedidores a cada usuario, podrán efectuar la sectorización física de las redes de distribución respectivas.
Una vez realizada tal sectorización, se instalará macromedidores a la entrada del sector correspondiente y se estimará el volumen de agua a ser distribuido proporcionalmente entre los usuarios del sector correspondiente que no estén micromedidos.
En todo caso, el consumo a distribuir entre los usuarios macromedidos al interior de cada zona exceptuada de micromedición, será establecido de la siguiente forma:
![]()
Donde:
| Volumen de agua a facturar, en el periodo de facturación correspondiente, a cada usuario j no micromedido, que hace parte de la zona exceptuada de la medición individual. | |
| Usuarios no micromedidos dentro de la zona exceptuada de medición individual. | |
| Agua potable suministrada y macromedida por el macromedidor de la zona del APS o del APS exceptuada de medición, durante el periodo de facturación correspondiente. | |
| Número total de suscriptores en el periodo de facturación correspondiente, que hacen parte de la zona del APS o del APS exceptuada de micromedición. | |
| Volumen total de agua registrada en los micromedidores de los usuarios con medición individual que hacen parte de la zona del APS o del APS exceptuada de micromedición. | |
| Usuarios desde 1 hasta n que son micromedidos al interior de la zona del APS o del APS exceptuada de micromedición. | |
| Índice de pérdidas por suscriptor facturado (m3/suscriptor/mes), tal que: |
![]()
Donde:
| Índice de pérdidas por suscriptor estándar <= 6 m3/suscriptor/mes. | |
| Índice de pérdidas por suscriptor facturado en el año anterior (t-1) al establecimiento de la excepción de la medición del consumo, estimado a partir de la siguiente fórmula de cálculo: |
![]()
Donde:
| Consumo de agua facturada para el servicio público domiciliario de acueducto en el año anterior al establecimiento de la excepción de la medición del consumo (m3/año). | |
| Agua potable suministrada en el año anterior al establecimiento de la excepción de la medición del consumo (m3/año). |
![]()
| Agua producida en el año anterior al establecimiento de la excepción de la medición del consumo (m3/año). | |
| Volumen recibido por contratos de suministro de agua potable en el año anterior al establecimiento de la excepción de la medición del consumo (m3/año). | |
| Volumen entregado por contratos de suministro de agua potable en el año anterior al establecimiento de la excepción de la medición del consumo (m3/año). | |
| Número de suscriptores del APS, facturados promedio en el año anterior al establecimiento de la excepción de la medición del consumo en el servicio público domiciliario de acueducto. En el caso de facturación mensual corresponde al promedio de los doce meses del año base. En el caso de facturación bimestral, corresponde al promedio de los seis bimestres del año base. |
PARÁGRAFO 1. De conformidad con el artículo 146 de la Ley 142 de 1994, lo dispuesto en el presente artículo no podrá ser interpretado o aplicado de forma tal que resulte en una restricción al derecho del usuario de solicitar, en cualquier momento, la instalación de micromedidores; ni el derecho de la persona prestadora a instalarlos.
PARÁGRAFO 2. El catastro de usuarios micromedidos y no micromedidos, dentro de la zona del APS o el APS exceptuada de micromedición se deberá actualizar como mínimo una vez al año, para efectos de establecer el valor de los parámetros i y j contenidos en la anterior fórmula.
PARÁGRAFO 3. Sin perjuicio de las obligaciones establecidas en el artículo 148 de la Ley 142 de 1994 y en virtud de lo establecido en el numeral 9.4 del artículo 9 de la Ley 142 de 1994, los suscriptores o usuarios tendrán derecho a obtener información clara, veraz y oportuna sobre las lecturas del macromedidor.
(Resolución CRA 151 de 2001, art. 2.1.1.13) (modificado por la Resolución CRA 364 de 2006, art. 1)”
Nota: La resolución CRA 364 de 2006 fue publicada en el Diario Oficial No. 46.233 del 6 de abril de 2006.
ARTÍCULO 28. ACTUALIZACIÓN DEL ARTÍCULO 5.3.5.2.9.1 DE LA RESOLUCIÓN CRA 943 DE 2021. Modifíquese el artículo 5.3.5.2.9.1 de la Resolución CRA 943 de 2021, el cual quedará así:
“ARTÍCULO 5.3.5.2.9.1. ACTUALIZACIÓN DE COSTOS. Para actualizar los costos económicos resultantes de la aplicación de la metodología tarifaria, cuando el Índice de Precios al Consumidor (IPC), reportado por el DANE, acumule una variación de por lo menos tres por ciento (3%). La actualización se realizará de conformidad con la siguiente fórmula:
![]()
Donde:
Se refiere al costo económico actualizado para el periodo i.
Se refiere al costo económico estimado a partir de la última actualización efectuada por la persona prestadora.
Factor de Actualización por IPC, el cual podrá ser aplicado cada vez que se acumule una variación de por lo menos el tres por ciento (3%) en el Índice de Precios al Consumidor (IPC) reportado por el DANE. Este factor será calculado de la siguiente manera:
![]()
Donde:
IPC reportado por el DANE en el mes seleccionado por la persona prestadora, para efectos de realizar la actualización por concepto de IPC (mes final).
IPC reportado por el DANE correspondiente al último mes en el cual se realizó la actualización por concepto de IPC o aquel que la persona prestadora seleccione como mes base para la actualización, el cual no podrá ser anterior al momento en el que se aplicó la última indexación.
PARÁGRAFO. La aplicación del IPC se sujetará a lo establecido en el artículo 125 de la Ley 142 de 1994, para lo cual deberá informar a la Comisión de Regulación de Agua Potable y Saneamiento Básico (CRA) y a la Superintendencia de Servicio Públicos Domiciliarios (SSPD). Para la estimación del factor de actualización, se utilizará el IPC expresado de acuerdo con la base definida por el DANE vigente al momento de expedición de la presente resolución, redondeado a dos (2) decimales. El factor de actualización obtenido
deberá ser redondeado a cuatro (4) decimales y las operaciones resultantes de la fórmula de actualización de costos de referencia serán redondeadas a dos (2) decimales.
(Resolución CRA 853 de 2018, art. 32).”
ARTÍCULO 29. ACTUALIZACIÓN DEL ARTÍCULO 5.3.5.3.8.1 DE LA RESOLUCIÓN CRA 943 DE 2021. Modifíquese el artículo 5.3.5.3.8.1 de la Resolución CRA 943 de 2021, el cual quedará así:
ARTÍCULO 5.3.5.3.8.1. ACTUALIZACIÓN DE COSTOS. Para actualizar los costos económicos resultantes de la aplicación de la metodología tarifaria, cuando el Índice de Precios al Consumidor (IPC), reportado por el DANE, acumule una variación de por lo menos tres por ciento (3%). La actualización se realizará de conformidad con la siguiente fórmula:
![]()
Donde:
Se refiere al costo económico actualizado para el periodo i.
Se refiere al costo económico estimado a partir de la última actualización efectuada por la persona prestadora.
Factor de Actualización por IPC, el cual podrá ser aplicado cada vez que se acumule una variación de por lo menos el tres por ciento (3%) en el Índice de Precios al Consumidor (IPC) reportado por el DANE. Este factor será calculado de la siguiente manera:
![]()
Donde:
IPC reportado por el DANE en el mes seleccionado por la persona prestadora, para efectos de realizar la actualización por concepto de IPC (mes final).
IPC reportado por el DANE correspondiente al último mes en el cual se realizó la actualización por concepto de IPC o aquel que la persona prestadora seleccione como mes base para la actualización, el cual no podrá ser anterior al momento en el que se aplicó la última indexación.
PARÁGRAFO. La aplicación del IPC se sujetará a lo establecido en el artículo 125 de la Ley 142 de 1994, para lo cual deberá informar a la Comisión de Regulación de Agua Potable y Saneamiento Básico (CRA) y a la Superintendencia de Servicio Públicos Domiciliarios (SSPD). Para la estimación del factor de actualización, se utilizará el IPC expresado de acuerdo con la base definida por el DANE vigente al momento de expedición de la presente resolución, redondeado a dos (2) decimales. El factor de actualización obtenido
deberá ser redondeado a cuatro (4) decimales y las operaciones resultantes de la fórmula de actualización de costos de referencia serán redondeadas a dos (2) decimales.
(Resolución CRA 853 de 2018, art. 57).”
ARTÍCULO 30. ACTUALIZACIÓN DEL ARTÍCULO 5.3.5.4.8.1 DE LA RESOLUCIÓN CRA 943 DE 2021. Modifíquese el artículo 5.3.5.4.8.1 de la Resolución CRA 943 de 2021, el cual quedará así:
ARTÍCULO 5.3.5.4.8.1. ACTUALIZACIÓN DE COSTOS. Para actualizar los costos económicos resultantes de la aplicación de la metodología tarifaria, cuando el Índice de Precios al Consumidor (IPC), reportado por el DANE, acumule una variación de por lo menos tres por ciento (3%). La actualización se realizará de conformidad con la siguiente fórmula:
![]()
Donde:
Se refiere al costo económico actualizado para el periodo i.
Se refiere al costo económico estimado a partir de la última actualización efectuada por la persona prestadora.
Factor de Actualización por IPC, el cual podrá ser aplicado cada vez que se acumule una variación de por lo menos el tres por ciento (3%) en el Índice de Precios al Consumidor (IPC) reportado por el DANE. Este factor será calculado de la siguiente manera:
![]()
Donde:
IPC reportado por el DANE en el mes seleccionado por la persona prestadora, para efectos de realizar la actualización por concepto de IPC (mes final).
IPC reportado por el DANE correspondiente al último mes en el cual se realizó la actualización por concepto de IPC o aquel que la persona prestadora seleccione como mes base para la actualización, el cual no podrá ser anterior al momento en el que se aplicó la última indexación.
PARÁGRAFO. La aplicación del IPC se sujetará a lo establecido en el artículo 125 de la Ley 142 de 1994, para lo cual deberá informar a la Comisión de Regulación de Agua Potable y Saneamiento Básico (CRA) y a la Superintendencia de Servicio Públicos Domiciliarios (SSPD). Para la estimación del factor de actualización, se utilizará el IPC expresado de acuerdo con la base definida por el DANE vigente al momento de expedición de la presente resolución, redondeado a dos (2) decimales. El factor de actualización obtenido
deberá ser redondeado a cuatro (4) decimales y las operaciones resultantes de la fórmula de actualización de costos de referencia serán redondeadas a dos (2) decimales.
(Resolución CRA 853 de 2018, art. 80).”
ARTÍCULO 31. ACTUALIZACIÓN DEL ARTÍCULO 5.3.5.5.2.2 DE LA RESOLUCIÓN CRA 943 DE 2021. Modifíquese el artículo 5.3.5.5.2.2 de la Resolución CRA 943 de 2021, el cual quedará así:
“Artículo 5.3.5.5.2.2. Incremento en el CCS por la prestación de la actividad de aprovechamiento. Cuando en el municipio se preste la actividad de aprovechamiento, el CCS adoptado se deberá incrementar como máximo en un 37%.
Este incremento se realizará de manera gradual con base en los residuos efectivamente aprovechados en el municipio. Así:
![]()
Donde:
Incremento CCS: Porcentaje en el que se incrementa el CCS cuando en un municipio se preste la actividad de aprovechamiento. Cuando la variable Qea sea igual cero, el valor del Incremento CCS será cero.
Porcentaje de residuos sólidos efectivamente aprovechados en el municipio:
![]()
Donde:
Toneladas de residuos efectivamente aprovechados del periodo de facturación en el municipio, de acuerdo con lo definido en el artículo 5.3.5.5.1.4 de la presente resolución (toneladas/mes).
Promedio mensual de toneladas de residuos sólidos recolectados y transportados al sitio de disposición final, en el periodo de producción de acuerdo con lo definido en el ARTÍCULO 5.3.5.5.1.4 de la presente resolución (toneladas/mes).
El recaudo proveniente del incremento en el costo de comercialización por suscriptor (CCS) deberá ser distribuido entre las prestadoras de recolección y transporte de residuos sólidos no aprovechables y de aprovechamiento, de la siguiente manera:
| Prestador No aprovechables | Prestador Aprovechables |
| 41% | 59% |
El recaudo proveniente del incremento en el costo de comercialización por suscriptor (CCS) deberá ser distribuido entre las prestadoras de aprovechamiento de la siguiente manera:
5.3.5.5.2.2.1. Recaudo mensual por CCS para las personas prestadoras de aprovechamiento por suscriptores no aforados de esta actividad:
El recaudo proveniente del incremento en el costo de comercialización por suscriptores aforados (CCS) deberá ser distribuido entre las prestadoras de recolección y transporte de residuos sólidos no aprovechables y de aprovechamiento, de la siguiente manera:
![]()
Donde:
Recursos provenientes del recaudo por concepto del CCS para la persona prestadora de aprovechamiento j en el municipio, asociado al recaudo mensual por CCS de aprovechamiento de los suscriptores no aforados en el APS de la persona prestadora de recolección y transporte de residuos sólidos no aprovechables (pesos/mes).
Recaudo mensual proveniente de los suscriptores no aforados, por concepto del costo de comercialización del servicio público de aseo en el APS de las personas prestadora de recolección y transporte de residuos sólidos no aprovechables (pesos/mes).
Toneladas de residuos efectivamente aprovechados no aforados por la persona prestadora de aprovechamiento j del periodo de facturación en el municipio (toneladas/mes).
Número de personas prestadoras de la actividad de aprovechamiento en el municipio donde j= {1, 2, 3, 4,...,n}.
5.3.5.5.2.2.2. Recaudo mensual por CCS para las personas prestadoras de aprovechamiento por suscriptores aforados de esta actividad:
![]()
Donde:
Recursos provenientes del recaudo por concepto del CCS para la persona prestadora de aprovechamiento j en el municipio, asociado al recaudo mensual por CCS de aprovechamiento de los suscriptores aforados de aprovechamiento en el APS de la persona prestadora de recolección y transporte de residuos sólidos no aprovechables (pesos/mes).
Recaudo mensual proveniente de los suscriptores con aforo, por concepto del costo de comercialización del servicio público de aseo en el APS de las personas prestadoras de recolección y transporte de residuos sólidos no aprovechables (pesos/mes).
Promedio mensual del número de suscriptores aforados de aprovechamiento del municipio, de acuerdo con lo definido en el ARTÍCULO 5.3.5.5.1.4 de la presente resolución (suscriptores/mes).
Número de personas prestadoras de la actividad de aprovechamiento en el municipio donde j= {1, 2, 3, 4,...,n}.
PARÁGRAFO. Este incremento se realizará una vez la persona prestadora de aprovechamiento cuente con Registro Único de Prestadores de Servicios Públicos (RUPS) y haya certificado la cantidad en toneladas de residuos efectivamente aprovechados en el Sistema Único de Información (SUI) y, por ende, se pueda facturar la actividad de aprovechamiento en el respectivo municipio.
(Resolución CRA 853 de 2018, art. 89). (Corregido por el artículo 21 de la Resolución CRA 892 de 2019)”
ARTÍCULO 32. ACTUALIZACIÓN DEL ARTÍCULO 5.3.5.5.8.1 DE LA RESOLUCIÓN CRA 943 DE 2021. Modifíquese el artículo 5.3.5.5.8.1 de la Resolución CRA 943 de 2021, el cual quedará así:
ARTÍCULO 5.3.5.5.8.1. ACTUALIZACIÓN DE COSTOS. Para actualizar los costos económicos resultantes de la aplicación de la metodología tarifaria, cuando el Índice de Precios al Consumidor (IPC), reportado por el DANE, acumule una variación de por lo menos tres por ciento (3%). La actualización se realizará de conformidad con la siguiente fórmula:
![]()
Donde:
Se refiere al costo económico actualizado para el periodo i.
Se refiere al costo económico estimado a partir de la última actualización efectuada por la persona prestadora.
Factor de Actualización por IPC, el cual podrá ser aplicado cada vez que se acumule una variación de por lo menos el tres por ciento (3%) en el Índice de Precios al Consumidor (IPC) reportado por el DANE. Este factor será calculado de la siguiente manera:
![]()
Donde:
IPC reportado por el DANE en el mes seleccionado por la persona prestadora, para efectos de realizar la actualización por concepto de IPC (mes final).
IPC reportado por el DANE correspondiente al último mes en el cual se realizó la actualización por concepto de IPC o aquel que la persona prestadora seleccione como mes base para la actualización, el cual no podrá ser anterior al momento en el que se aplicó la última indexación.
PARÁGRAFO. La aplicación del IPC se sujetará a lo establecido en el artículo 125 de la Ley 142 de 1994, para lo cual deberá informar a la Comisión de Regulación de Agua Potable y Saneamiento Básico (CRA) y a la Superintendencia de Servicio Públicos Domiciliarios (SSPD). Para la estimación del factor de actualización, se utilizará el IPC expresado de acuerdo con la base definida por el DANE vigente al momento de expedición de la presente resolución, redondeado a dos (2) decimales. El factor de actualización obtenido (
) deberá ser redondeado a cuatro (4) decimales y las operaciones resultantes de la fórmula de actualización de costos de referencia serán redondeadas a dos (2) decimales.
(Resolución CRA 853 de 2018, art. 101).
ARTÍCULO 33. ACTUALIZACIÓN DEL ARTÍCULO 5.3.5.6.8.1 DE LA RESOLUCIÓN CRA 943 DE 2021. Modifíquese el artículo 5.3.5.6.8.1 de la Resolución CRA 943 de 2021, el cual quedará así:
ARTÍCULO 5.3.5.6.8.1. ACTUALIZACIÓN DE COSTOS.
Para actualizar los costos económicos resultantes de la aplicación de la metodología tarifaria, cuando el Índice de Precios al Consumidor (IPC), reportado por el DANE, acumule una variación de por lo menos tres por ciento (3%). La actualización se realizará de conformidad con la siguiente fórmula:
![]()
Donde:
Se refiere al costo económico actualizado para el periodo i.
Se refiere al costo económico estimado a partir de la última actualización efectuada por la persona prestadora.
Factor de Actualización por IPC, el cual podrá ser aplicado cada vez que se acumule una variación de por lo menos el tres por ciento (3%) en el Índice de Precios al Consumidor (IPC) reportado por el DANE. Este factor será calculado de la siguiente manera:
![]()
Donde:
IPC reportado por el DANE en el mes seleccionado por la persona prestadora, para efectos de realizar la actualización por concepto de IPC (mes final).
IPC reportado por el DANE correspondiente al último mes en el cual se realizó la actualización por concepto de IPC o aquel que la persona prestadora seleccione como mes base para la actualización, el cual no podrá ser anterior al momento en el que se aplicó la última indexación.
PARÁGRAFO. La aplicación del IPC se sujetará a lo establecido en el artículo 125 de la Ley 142 de 1994, para lo cual deberá informar a la Comisión de Regulación de Agua Potable y Saneamiento Básico (CRA) y a la Superintendencia de Servicio Públicos Domiciliarios (SSPD). Para la estimación del factor de actualización, se utilizará el IPC expresado de acuerdo con la base definida por el DANE vigente al momento de expedición de la presente resolución, redondeado a dos (2) decimales. El factor de actualización obtenido
deberá ser redondeado a cuatro (4) decimales y las operaciones resultantes de la fórmula de actualización de costos de referencia serán redondeadas a dos (2) decimales.
(Resolución CRA 853 de 2018, art. 125).”
ARTÍCULO 34. ACTUALIZACIÓN DEL ARTÍCULO 6.2.1.1 DE LA RESOLUCIÓN CRA 943 DE 2021. Modifíquese el artículo 6.2.1.1 de la Resolución CRA 943 de 2021, el cual quedará así:
“Artículo 6.2.1.1 Actualización de los costos económicos de referencia
1. Actualización de los costos económicos de referencia al momento de iniciar la aplicación de la metodología tarifaria.
Para actualizar los costos económicos de referencia, al momento de iniciar la aplicación de la fórmula tarifaria definida en el Título I de la Parte I del Libro 2 de la presente Resolución, las personas prestadoras deberán proceder de la siguiente manera:
![]()
Donde:
| Costo económico de referencia (CMA, CMO y CMI) actualizado con el último Índice de Precios al Consumidor (IPC) publicado por el DANE, con el cual la persona prestadora empezará a aplicar la metodología de cálculo establecida en el Título I de la Parte I del Libro 2 de la presente Resolución. | |
| Es el resultante de la aplicación de la presente metodología para cada uno de los componentes (CMA, CMO, CMI) de los servicios públicos domiciliarios de acueducto y alcantarillado, el cual está expresado a pesos de diciembre del año base. | |
| Último reporte del Índice de Precios al Consumidor (IPC) publicado por el DANE del mes en el cual la persona prestadora empezará a aplicar la metodología tarifaria establecida en en el Título I de la Parte I del Libro 2 de la presente Resolución. | |
| Índice de Precios al Consumidor (IPC) reportado por el DANE del mes de diciembre del año 2016. El cual corresponde a 133,399773. |
Para la estimación del factor de actualización, se utilizará el índice IPC redondeado a dos (2) decimales, expresado de acuerdo con la base definida por el DANE vigente al momento de expedición de en el Título I de la Parte I del Libro 2 de la presente Resolución. El factor de actualización obtenido
deberá ser redondeado a cuatro (4) decimales y las operaciones resultantes de la fórmula de actualización de costos por componente (CMA, CMO, CMI) serán redondeadas a dos (2) decimales.
2. Actualización de los costos económicos de referencia durante la aplicación de la metodología tarifaria.
Una vez actualizado el costo económico de referencia de los servicios públicos domiciliarios de acueducto y alcantarillado, las personas prestadoras podrán aplicar un factor de actualización por IPC cada vez que el Índice de Precios al Consumidor (IPC), reportado por el DANE, acumule una variación de por lo menos tres por ciento. Las personas prestadoras deberán iniciar las acumulaciones del IPC desde la fecha de aplicación de la presente fórmula tarifaria, de conformidad con la siguiente fórmula:
![]()
Donde:
| Costo económico de referencia (CMA, CMO, CMI) actualizado para el período i de los servicios públicos domiciliarios de acueducto y alcantarillado, expresado en términos unitarios. | |
| Es el estimado a partir de la última actualización efectuada por la persona prestadora. | |
| Índice de Precios al Consumidor (IPC) reportado por el DANE del mes seleccionado por la persona prestadora, para efectos de realizar la actualización por IPC (mes final). | |
| Índice de Precios al Consumidor (IPC) reportado por el DANE correspondiente al último mes en el cual se realizó la actualización por IPC o aquel que la persona prestadora seleccione como mes base para la actualización, el cual no podrá ser anterior al momento en el que se aplicó la última indexación. |
La aplicación del IPC se sujetará a lo establecido en el artículo 125 de la Ley 142 de 1994. Para la estimación del factor de actualización, se utilizará el índice IPC redondeado a dos (2) decimales, expresado de acuerdo con la base definida por el DANE vigente al momento de expedición de en el Título I de la Parte I del Libro 2 de la presente Resolución. El factor de actualización obtenido
deberá ser redondeado a cuatro (4) decimales y las operaciones resultantes de la fórmula de actualización de costos por componente (CMA, CMO, CMI) serán redondeadas a dos (2) decimales.
(Resolución CRA 825 de 2017, Anexo I)”
CORRECCIÓN DE ERRORES FORMALES.
ARTÍCULO 35. CORRECCIÓN DEL ERROR FORMAL DE DIGITACIÓN DE LOS ARTÍCULOS 1.6.5.3.2.3, 2.1.2.1.4.1.4, 2.1.2.1.4.4.1, 5.3.5.4.1.1, 5.3.5.4.2.2, 5.3.5.4.4.1, 5.3.5.4.7.1, 5.3.5.6.5.4, 5.3.5.7.3.1 DE LA RESOLUCIÓN CRA 943 DE 2021. Corregir el error formal de digitación contenido en los artículos 1.6.5.3.2.3, 2.1.2.1.4.1.4, 2.1.2.1.4.4.1 <sic, 2.1.2.4.4.4.2>, 5.3.5.4.1.1, 5.3.5.4.2.2, 5.3.5.4.4.1, 5.3.5.4.7.1, 5.3.5.6.5.4, 5.3.5.7.3.1 de la Resolución CRA 943 de 2021, suprimiendo la frase “¡Error! No se encuentra el origen de la referencia” contenida en sus redacciones normativas.
ARTÍCULO 36. CORRECCIÓN DEL ERROR FORMAL DE DIGITACIÓN DEL PARÁGRAFO 1 DEL ARTÍCULO 1.8.7.2.1.2 DE LA RESOLUCIÓN CRA 943 DE 2021. Corregir el error formal de digitación contenido en el parágrafo 1 del artículo 1.8.7.2.1.2 de la Resolución CRA 943 de 2021 en el sentido de indicar que deberá aplicar las previsiones del Título 6 de la Parte 8 del Libro 1, cuya redacción quedará así:
“Artículo 1.8.7.2.1.2. Facultad para modificar la fórmula tarifaria. La fórmula tarifaria para los servicios públicos de acueducto, alcantarillado y aseo sólo puede ser modificada por la Comisión de Regulación de Agua Potable y Saneamiento Básico – CRA, de oficio o a solicitud de parte.
PARÁGRAFO 1. En los casos en los que una persona prestadora haya incurrido en un error en la aplicación de la fórmula tarifaria, podrá realizar los ajustes respectivos, para lo cual deberá aplicar las previsiones del Título 6 de la Parte 8 del Libro 1 de la presente resolución y Título 4 de la Parte 3 del Libro 5 de la presente resolución o la norma que la modifique, adicione, sustituya o derogue, según el servicio que se trate, e informar de tal situación a la Superintendencia de Servicios Públicos Domiciliarios, para lo de su competencia, adjuntando los soportes que justifiquen el ajuste respectivo.
Lo anterior, sin perjuicio de las devoluciones por cobros no autorizados a que haya lugar, así como de las acciones que adelante la Superintendencia de Servicios Públicos Domiciliarios en cumplimiento de sus facultades de inspección, vigilancia y control.
PARÁGRAFO 2. Teniendo en cuenta el derecho que le asiste a todo ciudadano de presentar peticiones ante las autoridades en cualquiera de sus modalidades conforme al Código de Procedimiento Administrativo y de lo Contencioso Administrativo, y cuando la modificación de la fórmula tarifaria sea solicitada por un tercero, éste deberá cumplir con los requisitos exigidos por dicha Ley. Así mismo, deberá cumplir con los requisitos señalados en este título, acreditar que solicitó la información a la persona prestadora y no le fue posible acceder a ella, evento en el cual la Comisión de Regulación de Agua Potable y Saneamiento Básico la solicitará de oficio, salvo que el trámite de la solicitud sea improcedente.
(Resolución CRA 151 de 2001, art. 5.2.1.2) (modificado por Resolución CRA 271 de 2003, art. 2) (modificado por la Resolución CRA 864 de 2018, art. 4).”
ARTÍCULO 37. CORRECCIÓN DEL ERROR FORMAL DE DIGITACIÓN DEL ARTÍCULO 1.8.7.2.1.4 DE LA RESOLUCIÓN CRA 943 DE 2021. Corregir el error formal de digitación contenido en el artículo 1.8.7.2.1.4 de la Resolución CRA 943 de 2021 en el sentido de incluir la numeración de los incisos 1 y 2, cuya redacción quedará así:
“Artículo 1.8.7.2.1.4. Condiciones objeto de verificación. Sólo se podrá modificar la fórmula tarifaria de los servicios públicos de acueducto, alcantarillado y aseo, cuando se demuestre lo siguiente:
1. Que la fórmula tarifaria que se pretende modificar, no garantiza el cumplimiento de alguno(s) de los criterios establecidos en el artículo 87 de la Ley 142 de 1994, debido a condiciones particulares de prestación del servicio del solicitante.
2. Que la solicitud de modificación de la fórmula tarifaria propuesta, garantiza los criterios establecidos en el artículo 87 de la Ley 142 de 1994.
Nota: El artículo 87 de la Ley 142 de 1994 fue modificado por el artículo 99 de la Ley 1450 de 2011, el cual está vigente según artículo 336 de la Ley 1955 de 2019.
(Resolución CRA 151 de 2001, art. 5.2.1.4) (modificado por la Resolución CRA 271 de 2003, art. 2) (modificado por la Resolución CRA 864 de 2018, art. 4).
ARTÍCULO 38. CORRECCIÓN DE ERROR FORMAL DE DIGITACIÓN POR DUPLICACIÓN DE LOS ARTÍCULOS 2.1.2.2.1 Y 2.1.2.2.2 EN LA RESOLUCIÓN CRA 943 DE 2021. Suprímase los artículos 2.1.2.2.1 y 2.1.2.2.2 los cuales se encuentran duplicados entre los artículos 2.1.2.1.4.1.4. y 2.1.2.1.4.1.5 de la Resolución CRA 943 de 2021.
ARTÍCULO 39. CORRECCIÓN DEL ERROR FORMAL DE NUMERACIÓN DEL ARTÍCULO 2.1.2.5.2 DE LA RESOLUCIÓN CRA 943 DE 2021. Corregir el error formal presentado en la numeración del artículo 2.1.2.5.2 de la Resolución CRA 943 de 2021, en el sentido de indicar como numeración correcta del referido artículo, el número 2.4.2.5.2, cuya redacción quedará así:
“Artículo 2.4.2.5.2. Valor de negociación. Los costos máximos calculados conforme con lo indicado en los artículos 2.4.2.3.1, 2.4.2.4.1 y 2.4.2.5.1 de esta resolución, se constituirán en un valor máximo para la negociación entre el proveedor y el beneficiario. Las partes podrán pactar valores menores siempre y cuando no incurran en prácticas restrictivas de la competencia y cumplan los criterios orientadores del régimen tarifario, definidos en la Ley 142 de 1994, como resultado de adoptar opciones tales como:
- Volúmenes mínimos demandados o transportados.
- Pago anticipado de volúmenes de agua demandados o transportados.
- Uso de una tasa de descuento menor a la definida en el estudio de costos vigente del proveedor.
- Otras opciones que sean identificadas y acordadas por las partes.
(Resolución CRA 759 de 2016, art. 12).”
ARTÍCULO 40. CORRECCIÓN DEL ERROR FORMAL DE DIGITACIÓN DEL TÍTULO 3 DE LA PARTE 8 DEL LIBRO 2 DE LA RESOLUCIÓN CRA 943 DE 2021. Corregir el error formal de digitación presentado en el Título 3 de la Parte 8 del Libro 2 de la Resolución CRA 943 de 2021, cuya redacción quedará así:
“TITULO 3
ESQUEMAS DIFERENCIALES DE PRESTACIÓN DE LOS SERVICIOS PÚBLICOS DE ACUEDUCTO Y ALCANTARILLADO APLICABLES A LAS PERSONAS PRESTADORAS EN EL ÁMBITO DE APLICACIÓN DE ARTÍCULO 2.1.1.1.1.1. DE LA RESOLUCIÓN CRA 943 DE 2021 O AQUELLA QUE LA MODIFIQUE, ADICIONE O SUSTITUYA.”
DISPOSICIONES FINALES.
ARTÍCULO 41. INTANGIBILIDAD DE LOS EFECTOS JURÍDICOS CAUSADOS. La derogatoria expresa de las disposiciones de carácter general y abstracto a que se refieren los artículos 2, 3, 4, 5, 6 y 7 de la presente Resolución, no afecta ni modifica las situaciones jurídicas concretas ni los derechos adquiridos que se hayan consolidado durante su vigencia. Tampoco afecta las decisiones judiciales ejecutoriadas que, al momento de entrada en vigencia de la presente resolución, se hayan dictado con fundamento en dichos cuerpos normativos, ni los actos administrativos, procedimientos y actuaciones administrativas que se hubieren materializado.
ARTÍCULO 42. VIGENCIA. La presente resolución rige a partir de la fecha de su publicación en el Diario Oficial, deroga los artículos 1.3.1, 1.3.4, 1.3.5, 1.3.6, 1.4.2.5, 1.8.2.2, 1.12.2, 1.12.3, 1.14.1, 2.5.1.3, 5.11.3.2.4.2, 5.11.3.2.4.3 y el Título 1 de la Parte 9 del Libro 1 por el criterio de duplicidad normativa; el Título 1 de la parte 7 del Libro 2 por el criterio de contravención al régimen vigente de nivel constitucional, legal o reglamentario del orden nacional; los artículos 2.1.1.1.6.5, 2.1.1.1.6.6, 2.1.1.1.6.7, 2.1.1.1.6.8, 2.1.2.1.10.8, 2.5.1.1, 2.5.1.2, 2.5.1.5, 2.5.1.6, 2.5.1.8, 2.5.1.9, 2.5.1.10, 2.5.1.12, 2.6.1.4, 2.6.1.6, 5.3.2.7.5, 5.3.5.9.9, 5.3.5.9.10, 5.3.5.9.11 y 5.3.5.9.12 por el criterio de cumplimiento del término o la condición resolutoria a la cual ésta estaba condicionada; suprime el Título 1 de la Parte 2 del Libro 4, el Titulo 6 de la Parte 3 del Libro 5, la Parte 1 del Libro 5, el Titulo 7 de la Parte 3 del Libro 5, la Parte 5 del Libro 5 y Artículo 5.6.1.3 por haber sido objeto de derogatoria expresa; deroga el artículo 5.3.4.5 por el criterio de decaimiento; deroga el artículo 1.5.3.1 y Subtitulo 4 del Capítulo 10 del Título 2 de la Parte 1 del Libro 2 por el criterio de cumplimiento o agotamiento del objeto para el cual fueron expedidas; modifica los artículos 1.8.4.1, 1.8.4.2, 1.10.1, 1.12.6, 1.12.8, 1.12.12, 1.13.1.8, 1.13.2.1.1, 1.13.2.1.2, 1.15.3, 1.15.4, 1.18.1, 2.1.1.1.3.4.2, 2.1.1.1.3.4.3, 2.1.1.1.3.4.4, 2.1.1.1.4.4.1, 2.1.2.1.4.3.4, 2.1.2.1.4.7.1 2.1.2.1.9.2, 2.5.1.7, 2.5.1.13, 5.3.5.2.9.1., 5.3.5.3.8.1., 5.3.5.4.8.1., 5.3.5.5.2.2, 5.3.5.5.8.1, 5.3.5.6.8.1 y 6.2.1.1); y corrige los errores formales de los artículos 1.6.5.3.2.3, 1.8.7.2.1.2, 1.8.7.2.1.4, 2.1.2.1.4.1.4, 2.1.2.1.4.4.1, 2.1.2.2.1, 2.1.2.2.2, 2.1.2.5.2, 5.3.5.4.1.1, 5.3.5.4.2.2, 5.3.5.4.4.1, 5.3.5.4.7.1, 5.3.5.6.5.4, 5.3.5.7.3.1) y el Título 3 de la Parte 8 del Libro 2 de la Resolución CRA 943 de 2021.
Dada en Bogotá, D.C., a los veintinueve (29) días del mes de abril de 2024.
PUBLÍQUESE Y CÚMPLASE
NATALIA DUARTE CÁCERES
Presidente
RUTH MARTIZA QUEVEDO FIQUE
Directora Ejecutivo