RESOLUCIÓN CRA 946 DE 2021
(junio 17)
Diario Oficial No. 51.713 de 22 de junio de 2021
COMISIÓN DE REGULACIÓN DE AGUA POTABLE Y SANEAMIENTO BÁSICO
Por la cual se modifica el artículo 1.6.5.2.3.1 del Capítulo 3 del Subtítulo 2 del Título 5 de la Parte 6 del Libro 1, el artículo 1.6.5.3.4.1. del Capítulo 4 del Subtítulo 3 del Título 5 de la Parte 6 del Libro 1, el Anexo 6.1.8.4. del Título 8 de la Parte 1 del Libro 6 y se adiciona un artículo al Capítulo 2 del Subtítulo 3 del Título 5 de la Parte 6 del Libro 1 de la Resolución CRA 943 de 2021, en lo relacionado con el Indicador Único Sectorial (IUS).
LA COMISIÓN DE REGULACIÓN DE AGUA POTABLE Y SANEAMIENTO BÁSICO,
en ejercicio de sus facultades legales, en especial de las conferidas por las Leyes 142 de 1994 y 1437 de 2011, los Decretos número 1524 de 1994, 2882 y 2883 de 2007, modificado por el Decreto número 2412 de 2015, y el Decreto número 1077 de 2015, y
CONSIDERANDO:
Que el artículo 209 de la Constitución Política dispone que la función administrativa está al servicio del interés general y el cumplimiento de sus objetivos se debe desarrollar, entre otros, de acuerdo con los principios de economía, igualdad y eficacia;
Que el artículo 334 de la Constitución Política consagra que la dirección general de la economía estará a cargo del Estado, el cual intervendrá por mandato de la ley entre otras actividades, en los servicios públicos y privados, para racionalizar la economía con el fin de conseguir el mejoramiento de la calidad de vida de los habitantes, la distribución equitativa de las oportunidades y los beneficios del desarrollo y la preservación de un ambiente sano;
Que el artículo 365 ídem prevé que los servicios públicos son inherentes a la finalidad social del Estado y que es deber del mismo asegurar su prestación eficiente a todos los habitantes del territorio nacional;
Que con fundamento en el mismo artículo constitucional, los servicios públicos domiciliarios estarán sometidos al régimen jurídico que fije la ley y el Estado mantendrá la regulación, el control y la vigilancia de dichos servicios;
Que el artículo 370 del Ordenamiento Constitucional, prevé que corresponde al Presidente de la República señalar, con sujeción a la Ley, las políticas generales de administración y control de eficiencia de los servicios públicos domiciliarios;
Que el artículo 68 de la Ley 142 de 1994, establece que el señalamiento de esas políticas se podrá delegar en las Comisiones de Regulación;
Que en virtud de lo anterior, el Presidente de la República mediante Decreto número 1524 de 1994, delegó las funciones Presidenciales de señalar políticas generales de administración y control de eficiencia en los servicios públicos domiciliarios, en las Comisiones de Regulación;
Que el artículo 52 de la Ley 142 de 1994, modificado por el artículo 7o de la Ley 689 de 2001, dispuso que: “El control de gestión y resultados es un proceso, que dentro de las directrices de planeación estratégica, busca que las metas sean congruentes con las previsiones. Las comisiones de regulación definirán los criterios, metodologías, indicadores, parámetros y modelos de carácter obligatorio que permitan evaluar la gestión y resultados de las entidades prestadoras. Así mismo, establecerán las metodologías para clasificar las personas prestadoras de los servicios públicos, de acuerdo con el nivel de riesgo, características y condiciones, con el propósito de determinar cuáles de ellas requieren de una inspección y vigilancia especial o detallada por parte de la Superintendencia de Servicios Públicos Domiciliarios”;
Que el artículo 73 de la Ley 142 de 1994 señala que las comisiones de regulación tienen la función de regular los monopolios en la prestación de los servicios públicos, cuando la competencia no sea, de hecho, posible; y, en los demás casos, la de promover la competencia entre quienes presten servicios públicos, para que las operaciones de los monopolistas o de los competidores sean económicamente eficientes, no impliquen abuso de la posición dominante, y produzcan servicios de calidad;
Que esta Comisión de Regulación expidió la Resolución CRA 906 del 23 de diciembre de 2019, por la cual se definen los criterios, metodologías, indicadores, parámetros y modelos de carácter obligatorio para evaluar la gestión y resultados de las personas prestadoras de los servicios públicos domiciliarios de acueducto y/o alcantarillado, se establece la metodología para clasificarlas de acuerdo con el nivel de riesgo, características y condiciones, y se modifican unas resoluciones”;
Que esta Comisión de Regulación expidió la Resolución CRA 919 de 2020 en el marco de la Emergencia Económica, Social y Ecológica declarada por el Gobierno nacional a causa del COVID-19, donde se amplió el plazo de entrega del primer Plan de Gestión y Resultados (PGR) por parte de las personas prestadoras;
Que la Comisión de Regulación de Agua Potable y Saneamiento Básico expidió la Resolución CRA 926 de 2020 por medio de la cual se realizaron aclaraciones, correcciones de errores tipográficos y de transcripción, para el entendimiento y correcta aplicación de criterios, metodologías, indicadores, parámetros y modelos de carácter obligatorio para evaluar la gestión y resultados de las personas prestadoras de los servicios públicos domiciliarios de acueducto y/o alcantarillado;
Que el 16 de diciembre de 2020, la Superintendencia de Servicios Públicos Domiciliarios (SSPD) y la Comisión de Regulación de Agua Potable y Saneamiento Básico, CRA expidieron la Circular conjunta 16 en relación con la aplicación de la Resolución CRA 906 de 2019 modificada por las Resoluciones CRA 919 y 926 de 2020;
Que el artículo 1o de la Resolución CRA 938 de 2020 modificó el artículo 109 de la Resolución CRA 688 de 2014, definiendo el POIR actualizado como aquel resultante de todas las modificaciones realizadas por el prestador al POIR en el año que se actualice y los años subsiguientes a este, en aplicación del artículo 52 de la Resolución CRA 688 de 2014, así como de lo señalado en los artículos 9o, 14 y 15 de la Resolución CRA 864 de 2018 o cuando la CRA lo disponga en aplicación de la Resolución CRA 864 de 2018, previa solicitud de modificación de fórmula tarifaria de carácter particular y demás disposiciones regulatorias que expida esta Comisión de Regulación para tal fin;
Que con posterioridad a la entrada en vigencia de la Resolución CRA 906 del 23 de diciembre de 2019, modificada por las Resoluciones CRA 919 y 926 de 2020, así como la expedición de la Resolución CRA 938 de 2020, esta Comisión de Regulación adelantó mesas de trabajo con la Superintendencia de Servicios Públicos Domiciliarios (SSPD) y personas prestadoras de los servicios públicos domiciliarios de acueducto y alcantarillado, con el objetivo de realizar una evaluación en el marco de la implementación de los instrumentos normativos y establecer cuáles aspectos requerían ser ajustados para cumplir con las disposiciones establecidas en cada una de las fichas técnicas de los indicadores que conforman el Indicador Único Sectorial (IUS) y el - PGR;
Que, en virtud de los resultados de dichas mesas de trabajo, esta Comisión identificó aquellos elementos de la Resolución CRA 906 de 2019, modificada por las Resoluciones CRA 919 y 926 de 2020, que podrían requerir alguna modificación para lograr los objetivos establecidos en la regulación;
Que el 9 de abril de 2021, la Superintendencia de Servicios Públicos Domiciliarios – SSPD expidió la Resolución número 20211000016645, por la cual se establecen los plazos para el cargue de Información Financiera anual con corte a 31 de diciembre de 2020 y se dictan otras disposiciones, mediante la cual se incorporan a la estructura de reporte en taxonomía NIF XBRL, el requerimiento de la información necesaria que servirá de base para los cálculos del IUS en las variables de Ingreso facturado (If), Recaudo (RI); Ingreso causado por concepto de Costo Medio de Inversión (ICMI); Ingreso causado por concepto de Costo Medio de Operación (ICMO) e Ingreso causado por concepto de Costo Medio de Administración (ICMA), razón por la cual las fuentes de información de dichas variables serán objeto de ajuste en las fichas de los indicadores sujetos de modificación en la presente Resolución;
Que la Comisión de Regulación de Agua Potable y Saneamiento Básico, CRA expidió la Resolución CRA 943 de 2021, por la cual se compila la regulación general de los servicios públicos de acueducto, alcantarillado y aseo, y se derogan unas disposiciones
Que se requiere modificar la ficha técnica de los indicadores EP.1.1 Índice de Inversiones Acumuladas de Acueducto (IIAAC) y EP.2.1 Índice de Inversiones Acumuladas de Alcantarillado (IIAALC) del ANEXO 6.1.8.4 del Título 8 de la Parte 1 del Libro 6 de la Resolución CRA 943 de 2021, con el fin de aclarar que el “Plan de Obras e Inversiones Regulado POIR” a utilizar corresponde al “POIR actualizado”, de que trata el parágrafo 1 del artículo 109 de la Resolución CRA 688 de 2014, modificado por la Resolución CRA 938 de 2020. Asimismo, es necesario modificar la definición del indicador y de las variables VPIejecp y Iejecp, para que el término “inversiones ejecutadas” empleado en la Resolución CRA 906 de 2019 sea reemplazado por “recursos ejecutados para inversiones”, es decir, desembolsos efectivamente realizados para la obra o inversión, durante lo corrido del período tarifario. De otra parte, se debe aclarar en el contenido de la ficha de este indicador que la variable Iproyp y la variable Iejecp corresponden al plan de inversiones con el que la persona prestadora calculó las tarifas del servicio público domiciliario de acueducto y/o alcantarillado y se debe eliminar el formulario “Formulación de proyectos” de la fuente de información del indicador IIAALC;
Que para los indicadores EP.1.2 Índice de Ejecución Anual de Inversiones de Acueducto - IEAIAC y EP.2.2 Índice de Ejecución Anual de Inversiones de Alcantarillado (IEAIAL), en el ANEXO 6.1.8.4 del Título 8 de la Parte 1 del Libro 6 de la Resolución CRA 943 de 2021 se requiere modificar la fórmula de cálculo para eliminar la variable “Porcentaje de Avance de Obra”, al no contarse con un mecanismo para la estandarización en su definición y evitando la distorsión que genera multiplicarlo por los montos ejecutados por el prestador, así como el subíndice “a” referente a los activos y/o proyectos, que se modifica por el subíndice “a/p”. Adicionalmente, se debe especificar que para la estimación de estos indicadores se deberá incluir únicamente obras que estén en operación en el periodo de evaluación y se incorpora la variable Index para aclarar cómo se debe expresar el indicador en pesos del año de evaluación. De igual forma se aclara que, para los grandes prestadores, el “Plan de Obras e Inversiones Regulado POIR” a utilizar corresponde al “POIR actualizado”, de que trata el parágrafo 1 del artículo 109 de la Resolución CRA 688 de 2014, modificado por la Resolución CRA 938 de 2020 y se debe eliminar el formulario “Formulación de proyectos” de la fuente de información del indicador IEAIAL;
Que en la ficha técnica del indicador SF.1.2 Eficiencia en el Recaudo - ER del ANEXO 6.1.8.4 del Título 8 de la Parte 1 del Libro 6 de la Resolución CRA 943 de 2021 se establece, en la definición del indicador, que el mismo “determina la proporción de los ingresos por prestación de los servicios públicos domiciliarios de acueducto y/o alcantarillado facturados y que se pretenden recaudar en un período corriente (año fiscal)”, no obstante, se debe modificar la definición de las variables para especificar que los ingresos a utilizar en el cálculo corresponden únicamente a los facturados por prestación de los servicios públicos de acueducto y/o alcantarillado del período a evaluar y que el recaudo correspondiente a otras actividades no se debe incluir. Igualmente, se requiere eliminar los nombres específicos de formularios del Sistema Único de Información - SUI asociados a la variable “ingresos de actividades ordinarias”. Adicionalmente, para las variables “If” y “RI” se ajusta el nombre específico del formulario del Sistema Único de Información (SUI) requerido para estimar dichas variables;
Que se requiere modificar la ficha técnica del indicador SF.1.3 Cubrimiento de Costos y Gastos (CG) del ANEXO 6.1.8.4 del Título 8 de la Parte 1 del Libro 6 de la Resolución CRA 943 de 2021, reemplazando las referencias de “actividades ordinarias” por ingresos facturados efectivamente recaudados correspondientes a la prestación de los servicios públicos de acueducto y/o alcantarillado del período a evaluar y especificando que el recaudo correspondiente a otras actividades no se debe incluir en la justificación, definición y variables del indicador. De otra parte, se corrige el nombre y la definición de la variable GOA de tal forma que sea coherente con el indicador GE.3.1 Relación de Costos y Gastos Administrativos por Gestión Social (GS) y se ajusta el nombre específico de los formularios del Sistema Único de Información (SUI) requeridos para estimar las variables;
Que se hace necesario modificar la ficha SF.1.5 Rotación de Cartera de Servicios Públicos en días de pago (RC) del ANEXO 6.1.8.4 del Título 8 de la Parte 1 del Libro 6 de la Resolución CRA 943 de 2021, para aclarar que el recaudo corresponde únicamente al relacionado con la prestación de los servicios públicos domiciliarios de acueducto y/o alcantarillado y que no debe tenerse en cuenta el recaudo de cartera de años anteriores, ni los correspondientes a actividades diferentes a la prestación de dichos servicios, además se hace necesario aclarar el formulario fuente de información para la variable “RI”;
Que para el indicador SF.2.1 EBITDA se requiere modificar la definición de la variable “Utilidad de actividades ordinarias (UAO)” en el ANEXO 6.1.8.4 del Título 8 de la Parte 1 del Libro 6 de la Resolución CRA 943 de 2021, eliminando la referencia a los servicios públicos domiciliarios de acueducto y alcantarillado, de tal manera que se entienda que todas las variables del EBITDA se calculan con la información de estados financieros consolidados de la persona prestadora; adicionalmente, se debe modificar la gráfica de normalización para representar de manera adecuada la regla establecida en el indicador y se debe ajustar en la fuente de información la referencia a la Resolución 533 de 2015 de la Contaduría General de la Nación y el formulario del grupo 3 para las variables “Depreciaciones”, “Amortizaciones”, “Deterioro” y “Provisiones”;
Que en la ficha técnica del indicador SF.3.1 Liquidez Ajustada – LA del ANEXO 6.1.8.4 del Título 8 de la Parte 1 del Libro 6 de la Resolución CRA 943 de 2021, se requiere modificar la fórmula para la estimación de la variable “Ingreso causado por concepto de Costo Medio de Inversión derivados del POIR - ICMI”, multiplicando los costos por los metros cúbicos facturados por el prestador para los servicios públicos domiciliarios de acueducto y/o alcantarillado en el año de evaluación, de tal manera que el resultado obtenido corresponda al ingreso anual y no al costo, igualmente se incorpora la variable Index para aclarar cómo se debe expresar el ICMI en pesos corrientes. Por otra parte, se debe ajustar el subíndice de la variable LAAC en la fórmula de liquidez ajustada asociada al servicio público domiciliario de alcantarillado, siendo lo correcto LAAL según el objeto del indicador y la descripción de la variable incluida en la ficha. Adicionalmente, se debe aclarar que el “Plan de Obras e Inversiones Regulado POIR” a utilizar corresponde al “POIR actualizado”, de que trata el parágrafo 1 del artículo 109 de la Resolución CRA 688 de 2014, modificado por la Resolución CRA 938 de 2020. Finalmente se requiere incluir la fuente de información para las variables “Activo Corriente”, “Pasivo Corriente” e “ICMI”;
Que se hace necesario modificar la fórmula de la ficha técnica del indicador SF.3.2 Índice Financiero asociado a la Eficiencia Operativa (IEO) en el ANEXO 6.1.8.4 del Título 8 de la Parte 1 del Libro 6 de la Resolución CRA 943 de 2021, respecto de la ubicación del primer paréntesis, con la finalidad de que la formulación corresponda con el objetivo del indicador. Asimismo, se complementa la definición de la variable TURAL aclarando que no se deberán incorporar factores regionales diferentes a 1 (uno) ni costos de multas y sanciones. También se modifica la notación de la variable de Costos operativos y gastos administrativos que corresponderá a COAAC/AL y se complementa su definición, ya que para el cálculo del IEO solo tiene en cuenta los costos y criterios utilizados para el cálculo del CMA y el CMO. De esta manera se diferencia del GOAAA que toma el total de dichos costos y gastos. Adicionalmente, se requiere ajustar el nombre específico del formulario del Sistema Único de Información (SUI) requerido para estimar la variable COAAA y por último, se ajusta la fuente de información para estimar las variables ICMA, ICMO y TURAC/AL del indicador;
Que se debe modificar el indicador GYT.2.1 Valor Económico Agregado (EVA) en el ANEXO 6.1.8.4 del Título 8 de la Parte 1 del Libro 6 de la Resolución CRA 943 de 2021 para incluir en el cálculo del Capital Invertido (CI) la totalidad del valor del activo, y no solo el valor total de los activos corrientes; asimismo, se debe modificar la redacción de la variable “Pasivos operativos sin costo financiero”, con el fin de guardar coherencia con el nombre de los conceptos contables de los cuales se extraerá la información; se modifica la variable “utilidad operacional” y se reemplaza por la variable “Utilidad neta antes de impuestos más costos financieros” con el fin de incorporar en el cálculo del EVA el resultado de los ingresos y costos no operacionales, se requiere ajustar en la fuente de información la referencia a la Resolución número 533 de 2015 de la Contaduría General de la Nación y se debe modificar la gráfica de normalización para representar de manera adecuada la regla establecida en el indicador;
Que del análisis realizado por esta Comisión, respecto de las observaciones recibidas durante el proceso de participación ciudadana del proyecto de resolución, por la cual se modifica la Resolución CRA 906 de 2019, se determinó la necesidad de ampliar el término para la evaluación y clasificación del nivel de riesgo y la publicación de los resultados por parte de la Superintendencia de Servicios Públicos Domiciliarios (SSPD) así como para el reporte del Plan de Gestión y Resultados (PGR) actualizado para la vigencia 2021. Así mismo, se consideró necesario modificar el nivel de publicación del Indicador Único Sectorial (IUS) para que este se efectúe a nivel de dimensiones;
Que de conformidad con lo establecido en el artículo 2.3.6.3.3.9 del Decreto número 1077 de 2015, se publicó en la página web de la Comisión de Regulación de Agua Potable y Saneamiento Básico - CRA, el proyecto de resolución, por la cual se modifica la Resolución CRA 906 de 2019, con lo cual se dio inicio al proceso de discusión directa con los usuarios, prestadores, gremios y demás agentes del sector e interesados, por el término de diez (10) días hábiles contados desde el 19 de abril hasta el 3 de mayo 2021;
Que en ejercicio de la función regulatoria que corresponde a la Comisión de Regulación de Agua Potable y Saneamiento Básico - CRA, y como consecuencia del proceso de participación ciudadana de la resolución referida en el considerando anterior, se recibieron 102 observaciones, reparos o sugerencias, de las cuales se aceptaron el 25%, se aclararon el 57% y se rechazaron el 18%;
Que de acuerdo con lo establecido en el artículo 7o de la Ley 1340 de 2009, modificada por la Ley 1955 de 2019 por la cual se dictan normas en materia de protección a la competencia, la Superintendencia de Industria y Comercio (SIC) puede rendir concepto previo a solicitud o de oficio, sobre los proyectos de regulación que puedan incidir sobre la libre competencia en los mercados, para lo cual las autoridades de regulación informarán a la Superintendencia de Industria y Comercio de los actos administrativos que se pretendan expedir;
Que de acuerdo con lo dispuesto en el artículo 5o del Decreto 2897 de 2010, por el cual se reglamenta el artículo 7o de la Ley 1340 de 2009, y habiendo diligenciado el cuestionario que para el efecto adoptó la Superintendencia de Industria y Comercio- SIC mediante Resolución número 44649 del 25 de agosto de 2010, se determinó que el contenido del presente acto administrativo no tiene incidencia sobre la libre competencia en los mercados, razón por la cual no fue puesto en conocimiento para efectos de la emisión del concepto de abogacía de la competencia por parte de la Superintendencia de Industria y Comercio-SIC;
Que en mérito de lo expuesto,
RESUELVE:
ARTÍCULO 1o. Modificar el contenido de la ficha técnica del ANEXO 6.1.8.4 del Título 8 de la Parte 1 del Libro 6 de la Resolución CRA 943 de 2021 correspondiente al indicador EP.1.1 Índice de Inversiones Acumuladas de Acueducto (IIAAC), incluido en la dimensión D.2 Eficiencia en la Planificación y Ejecución de Inversiones (EP), de acuerdo con lo expuesto en la parte motiva de la presente resolución, el cual quedará así:
SUB-DIMENSIÓN: EP.1 - CUMPLIMIENTO DEL PLAN DE INVERSIONES ACUEDUCTO
| INDICADOR | EP.1.1 índice de Inversiones Acumuladas de Acueducto - IIAAC |
| DEFINICION | El IIAAC determina el porcentaje de los recursos ejecutados acumulados, destinados al plan de inversiones, frente al valor de las inversiones proyectadas, en el plan de inversiones del prestador para el servicio público domiciliario de acueducto, desde el año tarifario de inicio del plan hasta el año tarifario del período de evaluación. |
| JUSTIFICACION | La gestión y resultados de una persona prestadora del servicio público domiciliario de acueducto debe evaluar el cumplimiento de las inversiones por medio del seguimiento de los recursos económicos según lo proyectado en el plan de inversiones del prestador. Un resultado bajo en este indicador está asociado a riesgos financieros, estratégicos, de tecnología y de cumplimiento del prestador. |
| NIVEL DE ANÁLISIS | Área de Prestación del Servicio - APS. |
| PERIODO DE EVALUACIÓN | Anual (año tarifario). |
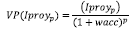
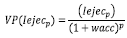
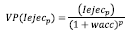
| FÓRMULA | Para el cálculo del indicador se aplicará la siguiente fórmula: Donde: IIAAC-.p:índice de Inversiones Acumuladas de Acueducto, redondeado a dos (2) cifras decimales. p: Año tarifario, en el que se prestó el servicio público domiciliario de acueducto, donde p = {1,2,3at}. Para el efecto del cálculo de este indicador se entenderá como año 1, el año en que se haya iniciado la ejecución del plan de inversiones proyectado por el prestador y at el período tarifario que finaliza en el período de evaluación del indicador. VPIejeCp. Valor presente de los recursos ejecutados en el plan de inversiones del servicio público domiciliario de acueducto en el período de evaluación p (expresado en pesos del año base). Corresponden a las erogaciones realizadas por el prestador sin discriminación del avance del proyecto y/o inversión, ya sea que la misma se encuentre "en curso' o "finalizada". Para el cálculo de esta variable se aplicará la siguiente fórmula: Donde; lejecp: Recursos ejecutados del plan de inversiones con el que calculó las tarifas del servicio público domiciliario de acueducto en el período de evaluación p, expresadas en pesos del año base de la metodología tarifaria vigente. Para lo cual deberá emplear el índice de Predos al Consumidor - IPC, publicado y calculado por el Departamento Administrativo Nadonal de Estadísticas (DANE). wacc: Tasa del costo promedio ponderado de capital regulatorio, de acuerdo con el marco tarifario que le aplique a la persona prestadora. VPIproyp: Valor presente de las inversiones proyectadas del plan de inversiones del servicio público domiciliario de acueducto desde el período de evaluadón (expresado en pesos del año base). Para el cálculo de esta variable se aplicará la siguiente fórmula: Donde: lproyp: Inversiones proyectadas del plan de Inversiones con el que calculó las tarifas del servido público domiciliario de acueducto, para el período de evaluación p, expresadas en pesos del año base de la metodología tarifaria vigente. Para la aplicación de esta fórmula se debe tener en cuenta los siguientes aspectos: - Se debe utilizar el POIR actualizado de que trata el parágrafo 1 del artículo 109 de la Resolución CRA 688 de 2014, modificado por el artículo 1o de la Resolución CRA 938 de 2020(1). - En el caso que el prestador cuente con recursos ejecutados en Inversiones compartidas entre Áreas de Prestadón del Servicio - APS, se aplicará la distribución de dichos recursos por APS aplicando los mismos criterios que el prestador consideró en la elaboración del plan de inversiones o POIR. Si no se realizó dicha distribución, la distribución de los recursos ejecutados y proyectados se realizará a partir del número de suscriptores atendidos por el prestador en cada APS benefidada en el último período de facturación del año tarifario. - SI la persona prestadora ha proyectado un plan de Inversiones y no ha reportado ejecudón de recursos, el Indicador será calificado como cero (0). - El indicador es aplicable a prestadores que empleen una fórmula tarifaria contractual en los términos del parágrafo 1 del artículo 87 de la Ley 142 de 1994, lo anterior, de acuerdo con el alcance de lo previsto en el contrato. Para el caso en que no se especifique un WACC en el contrato, se empleará el WACC regulatorio para el cálculo del indicador de estos prestadores. |
| FUENTE DE INFORMACIÓN | Información reportada en los formularios "Ejecudón de proyectos" y "Formato POIR? del Sistema Único de Información - SUI, establecidos mediante las Resoluciones SSPD 20101300048765 y 20171300039945, o aquellas que las modifiquen, adicionen, sustituyan o adaren. |
| ESTANDAR DE MEDICIÓN (NoNormalizado) | IIAAC = 100%. Para valores superiores al estándar de medición, se asume cumplido el 100%. |
| NORMALIZACIÓN | Para el cálculo del valor normalizado del indicador se aplicará la siguiente fórmula:![]() |
Referente de Evaluación (Normalizado)
| Segmento | Meta o Estándar de Medición | Escala de Medición |
| Grandes prestadores con excepción de los productores de servicios marginales o para uso particular, que no comercialicen los servicios públicos de acueducto y/o alcantarillado con terceras personas. | 100 | 0 a 100 |
ARTÍCULO 2o. MODIFICAR el contenido de la ficha técnica del ANEXO 6.1.8.4 del Título 8 de la Parte 1 del Libro 6 de la Resolución CRA 943 de 2021 correspondiente al indicador EP.1.2 índice de Ejecución Anual de Inversiones de Acueducto - IEAIAC, incluido en la dimensión D.2 Eficiencia en la Planificación y Ejecución de Inversiones (EP), de acuerdo con lo expuesto en la parte motiva de la presente resolución, el cual quedará así:
SUB-DIMENSIÓN: EP.1 - CUMPLIMIENTO DEL PLAN DE INVERSIONES ACUEDUCTO
| INDICADOR | EP.1.2 Índice de Ejecución Anual de Inversiones de Acueducto - IEAIAC |
| DEFINICION | El IEAIAC determina el porcentaje de cumplimiento anual de las Inversiones ejecutadas con respecto a las inversiones proyectadas en el plan de inversiones de la persona prestadora del servicio público domiciliario de acueducto para el año tarifario objeto de evaluación. |
| JUSTIFICACION | La gestión y resultados de una persona prestadora del servicio público domiciliario de acueducto debe permitir el seguimiento al cumplimiento del plan de Inversiones del prestador, con el fin de evidenciar el nivel de ejecución del mismo. Los retrasos en la ejecución del plan de inversiones generan riesgos financieros, estratégicos, de tecnología y de cumplimiento del prestador. |
| NIVEL DE ANALISIS | Area prestación del Servicio - APS. |
| PERIODO DE EVALUACIÓN | Anual (año tarifario). |
| FÓRMULA | Para el cálculo del Indicador se aplicará la siguiente fórmula Donde a/p: Activos y/o proyectos estipulados dentro del plan de Inversiones del prestador o POIR, parael servicio público domiciliario de acueducto, donde a/p = {1,2, 3 b}. VPa/p: Valor (pesos comentes) de los proyectos y/o activos “a/p” establecidos en el plan de inversiones del prestador para el servicio público domiciliario de acueducto. Lo anterior, debe corresponder al período tarifario que finaliza en el período de evaluación del indicador. índex-. Factor de indexadón de los pesos de diciembre del año base a pesos del año de evaluación, el cual se obtiene de dividir el IPC de junio del año de evaluación y el IPC de diciembre del año base que le corresponda al prestador de acuerdo con el marco regulatorio aplicado, teniendo presente que para ambos índices se emplee la misma base del IPC, establecida por el DANE. Para la aplicación de esta fórmula se debe tener en cuenta los siguientes aspectos: - Para el caso de los grandes prestadores, se debe utilizar el POIR actualizado de que trata el parágrafo 1 del artículo 109 de la Resolución CRA 688 de 2014, modificado por el artículo 1o de la Resolución CRA 938 de 2020. Para el caso de pequeños prestadores se tendrá en consideración el plan o valor de inversiones definido de acuerdo con las Resoluciones CRA 825 de 2017, CRA 864 de 2018 y CRA 939 de 2021. - Si la persona prestadora ha proyectado un plan de Inversiones y no ha reportado ejecución de este, el indicador será calificado como cero (0). - El indicador es aplicable a prestadores que empleen una fórmula tarifaria contractual en los términos del parágrafo 1 del artículo 87 de la Ley 142 de 1994, lo anterior, de acuerdo con el alcance de lo previsto en el contrato. |
| FUENTE DE INFORMACIÓN | Información reportada en los formularios "Ejecución de proyectos” y "Formato POIR' del Sistema Único de Información - SUI, establecidos mediante las Resoluciones SSPD 20101300048765 y 20171300039945, o aquellas que las modifiquen, adicionen, sustituyan o aclaren. |
| ESTANDAR DE MEDICIÓN (No Normalizado) | IEAIAC = 100%. Para valores superiores al estándar de medición, se asume cumplido el 100%. |
| NORMALIZACIÓN | Para el cálculo del valor normalizado del indicador se aplicará la siguiente fórmula:![]() |
Referente de Evaluación (Normalizado)
| Segmento | Meta o Estándar de Medición | Escala de Medición |
| Todos los prestadores con excepción de los productores de servicios marginales o para uso particular, que no comercialicen los servicios públicos de acueducto y/o alcantarillado con terceras personas. | 100 | 0 a 100 |
ARTÍCULO 3o. MODIFICAR el contenido de la ficha técnica del ANEXO 6.1.8.4 del Título 8 de la Parte 1 del Libro 6 de la Resolución CRA 943 de 2021 correspondiente al indicador EP.2.1. índice de Inversiones Acumuladas de Alcantarillado - IIAALC, Incluido en la dimensión D.2 Eficiencia en la Planificación y Ejecución de Inversiones (EP), de acuerdo con lo expuesto en la parte motiva de la presente resolución, el cual quedara así:
SUB-DIMENSIÓN: EP.2 - CUMPLIMIENTO DEL PLAN DE INVERSIONES ALCANTARILLADO
| INDICADOR | EP.2.1. índice de Inversiones Acumuladas de Alcantarillado - IIAALC |
| DEFINICIÓN | El IIAALC determina el porcentaje de los recursos ejecutados acumulados, destinados al plan de inversiones, frente al valor de las inversiones proyectadas, en el plan de inversiones del prestador para el servicio público domiciliario de alcantarillado, desde el año tarifario de inicio del plan hasta el año tarifario del período de evaluación. |
| JUSTIFICACIÓN | La gestión y resultados de una persona prestadora del servicio público domiciliario de alcantarillado debe evaluar el cumplimiento de las inversiones por medio del seguimiento de los recursos económicos según lo proyectado en el plan de inversiones del prestador. Un resultado bajo en este indicador está asociado a riesgos financieros, estratégicos, de tecnología y de cumplimiento del prestador. |
| NIVEL DE ANALISIS | Área de Prestación del Servicio - APS. |
| PERIODO DE EVALUACIÓN | Anual (año tarifario). |
| FORMULA | Para el cálculo del indicador se aplicara la siguiente formula: Donde: IIAALC: Indice de Inversiones Acumuladas de Alcantarillado, redondeado a dos (2) cifrasdecimales. p: Año tarifario, en el que se prestó el servicio público domiciliario de alcantarillado, dondep = {1,2,3,ai}. Para el efecto del cálculo de este indicador se entenderá como año1, el año en que se haya iniciado la ejecución del plan de inversiones proyectado por elprestador y at el período tarifario que finaliza en el período de evaluación del indicador. VPIejecp: Valor presente de los recursos ejecutados en el plan de inversiones del servicio públicodomiciliario de alcantarillado en el período de evaluación p (expresado en pesos del añobase). Corresponden a las erogaciones realizadas por el prestador sin discriminacióndel avance del proyecto y/o Inversión, ya sea que la misma se encuentre "en curso” o"finalizada'. Para el cálculo de esta variable se aplicará la siguiente fórmula: Donde: wacc: Tasa del costo ponderado de capital regulatorio, de acuerdo con el marco tarifario que le aplique a la persona prestadora. VPIproyp: Valor presente (expresado en pesos del año base) de las Inversiones proyectadas del plan de inversiones del servicio público domiciliario de alcantarillado desde en el período de evaluación. Para el cálculo de esta variable se aplicará la siguiente fórmula: Donde: Iproyp: Inversiones proyectadas del plan de inversiones con el que calculó las tarifas del servicio público domiciliario de alcantarillado para el período de evaluación p, expresadas en pesos del año base de la metodología tarifaria vigente. Para la aplicación de esta fórmula se debe tener en cuenta los siguientes aspectos: - Se debe utilizar el POIR actualizado de que trata el parágrafo 1 del artículo 109 de la Resolución CRA 688 de 2014, modificado por el artículo 1o de la Resolución CRA 938 de 2020. - En el caso en que el prestador cuente con recursos ejecutados en Inversiones compartidas entre Areas de Prestación del Servicio - APS, se aplicará la distribución de dichos recursos por APS aplicando los mismos criterios que el prestador consideró en la elaboración del plan de inversiones o POIR. Si no se realizó dicha distribución, la distribución de los recursos ejecutados y proyectados se realizará a partir del número de suscriptores atendidos por el prestador en cada APS beneficiada en el último período de facturación del año tarifario. - Si la persona prestadora ha proyectado un plan de inversiones y no ha reportado ejecución de recursos, el indicador será calificado como cero (0). - El indicador es aplicable a prestadores que empleen una fórmula tarifaria contractual en los términos del parágrafo 1 del artículo 87 de la Ley 142 de 1994, lo anterior, de acuerdo con el alcance de lo previsto en el contrato. Para el caso en que no se especifique un WACC en el contrato, se empleará el WACC regulatorio para el cálculo del indicador en estos prestadores. |
| FUENTE DE INFORMACIÓN | Información reportada en los formularios "Ejecución de proyectos" y "Formato POIR" del Sistema Único de Información - SUI, establecidos mediante las Resoluciones SSPD 20101300048765 y 20171300039945, o aquellas que las modifiquen, adicionen, sustituyan o aclaren. |
| ESTANDAR DE MEDICIÓN (No Normalizado) | IIAALC = 100%. Para valores superiores al estándar de medición, se asume cumplido el 100%. |
| NORMALIZACIÓN | Para el cálculo del valor normalizado del indicador se aplicará la siguiente fórmula:![]() |
Referente de Evaluación (Normalizado)
| Segmento | Meta o Estándar de Medición | Escala de Medición |
| Todos los prestadores con excepción de los productores de servicios marginales o para uso particular, que no comercialicen los servicios públicos de acueducto y/o alcantarillado con terceras personas. | 100 | 0 a 100 |
ARTÍCULO 4o. MODIFICAR el contenido de la ficha técnica del ANEXO 6.1.8.4 del Título 8 de la Parte 1 del Libro 6 de la Resolución CRA 943 de 2021 correspondiente al indicador EP.2.2 índice de Ejecución Anual de Inversiones de Alcantarillado - IEAIAL, incluido en la dimensión D.2 Eficiencia en la Planificación y Ejecución de Inversiones (EP), de acuerdo con lo expuesto en la parte motiva de la presente resolución, el cual quedará así:
SUB-DIMENSIÓN: EP.2 - CUMPLIMIENTO DEL PLAN DE INVERSIONES ALCANTARILLADO
| INDICADOR | EP.2.2 Indice de Ejecución Anual de Inversiones de Alcantarillado - IEAIAL |
| DEFINICION | El IEAIAL determina el porcentaje de cumplimiento anual de las inversiones con respecto a las inversiones proyectadas en el plan de inversiones de la persona prestadora del servicio público domiciliario de alcantarillado para el año tarifario objeto de evaluación. |
| JUSTIFICACIÓN | La gestión y resultados de una persona prestadora del servicio público domiciliario de alcantarillado debe permitir el seguimiento al cumplimiento del plan de inversiones del prestador, con el fin de evidenciar el nivel de ejecución del mismo. Los retrasos en la ejecución del plan de inversiones generan riesgos financieros, estratégicos, de tecnología y de cumplimiento del prestador. |
| NIVEL DE ANALISIS | Area de Prestación del Servicio - APS. |
| PERIODO DE EVALUACIÓN | Anual (año tarifario). |
| FÓRMULA | Para el cálculo del indicador se aplicará la siguiente fórmula: Donde: IEAIAL: índice de Ejecución Anual de Inversiones de Alcantarillado, redondeado a dos (2) cifras decimales. a/p: Activos y/o proyectos estipulados dentro del plan de inversiones del prestador o POIR,para el servicio público domiciliario de alcantarillado, donde a/p = {1,2,3 b}. VEPa/p: Valor (en pesos corrientes) del activo y/o proyecto "a/p" ejecutado establecido dentro del plan de inversiones o POIR del prestador para el servicio público domiciliario de alcantarillado durante el período de evaluación del indicador. Corresponden a activos y/o proyectos ejecutados aquellos que se encuentren "en operación". VPa/p: Valor (en pesos corrientes) de los proyectos y/o activos 'a/p'establecidos en el plan deInversiones del prestador para el servicio público domiciliarlo de alcantarillado. Lo anterior, debe corresponder al período tarifario que finaliza en el período de evaluación del indicador. Index: Factor de indexación de los pesos de diciembre del año base a pesos del año deevaluación, el cual se obtiene de dividir el IPC de junio del año de evaluación y el IPC de diciembre del año base que le corresponda al prestador de acuerdo con el marco regulatorio aplicado, teniendo presente que para ambos índices se emplee la misma base del IPC, establecida por el DAÑE. Para la aplicación de esta fórmula se debe tener en cuenta los siguientes aspectos: - Para el caso de los grandes prestadores, se debe utilizar el POIR actualizado de que trata el parágrafo 1 del artículo 109 de la Resolución CRA 688 de 2014, modificado por el artículo 1o de la Resolución CRA 938 de 2020. Para el caso de pequeños prestadores se tendrá en consideración el plan o valor de inversiones definido de acuerdo con las Resoluciones CRA 825 de 2017, CRA 864 de 2018 y CRA 939 de 2021. - Si la persona prestadora ha proyectado un plan de inversiones y no ha reportado ejecución de este, el indicador será calificado como cero (0). - El indicador es aplicable a prestadores que empleen una fórmula tarifaria contractual en los términos del parágrafo 1 del artículo 87 de la Ley 142 de 1994, lo anterior, de acuerdo con el alcance de lo previsto en el contrato |
| FUENTE DE INFORMACIÓN | Informadón reportada en los formularios “Ejecución de proyectos" y "Formato POIR” del Sistema Único de Informadón - SUI, establecidos mediante las Resoluciones SSPD 20101300048765 y 20171300039945, o aquellas que las modifiquen, adicionen, sustituyan o adaren. |
| ESTANDAR DE MEDICIÓN (No Normalizado) | IEAIAL = 100%. Para valores superiores al estándar de medición, se asume cumplido el 100%. |
| NORMALIZACIÓN | Para el cálculo del valor normalizado del indicador se aplicará la siguiente fórmula:![]() |
Referente de Evaluación (Normalizado)
| Segmento | Meta o Estándar de Medición | Escala de Medición |
| Todos los prestadores con excepción de los productores de servicios marginales o para uso particular, que no comerdalicen los servidos públicos de acueducto y/o alcantarillado con terceras personas. | 100 | 0 a 100 |
ARTÍCULO 5o. MODIFICAR el contenido de la ficha técnica del ANEXO 6.1.8.4 del Titulo B de la Parte 1 del Libro 6 de la Resolución CRA 943 de 2021 correspondiente al indicador SF.1.2 Eficiencia en el Recaudo - ER, incluido en la dimensión D.5 Sostenlbllldad Financiera (SF) de acuerdo con lo expuesto en la parte motiva de la presente resolución, el cual quedará así:
SUB-DIMENSIÓN: SF.1 - SUFICIENCIA FINANCIERA
| INDICADOR | SF.1.2 Eficiencia en el Recaudo - ER |
| DEFINICIÓN | El ER determina la proporción de los ingresos por prestación de los servicios públicos domidliarios de acueducto y/o alcantarillado facturados y que se pretenden recaudar en un período corriente (año fiscal). |
| JUSTIFICACIÓN | Debido a que la mayor parte o la totalidad de los ingresos de los prestadores de los servicios públicos domiciliarios de acueducto y/o alcantarillado provienen de la prestación de estos servicios, un porcentaje bajo en el resultado de este Indicador permite evidenciar y alertar sobre el riesgo de iliquidez, asociado a su vez a un riesgo financiero, operativo, de cumplimiento y de imagen del prestador. |
| NIVEL DE ANALISIS | Agregado a nivel de prestador, su resultado se replicará para cada área de prestación del servicio - APS atendida por el mismo. |
| PERIODO DE EVALUACIÓN | Anual (año fiscal). |
| FÓRMULA | Para el cálculo del Indicador se aplicará la siguiente fórmula: Donde ER: Eficiencia en el Recaudo, redondeado a dos (2) cifras decimales. RI: Recaudo en el período de evaluación por prestación de los servicios públicos domiciliarios de acueducto y/o alcantarillado. Los valores recaudados no deben incluir el recaudo de cartera de años anteriores, ni los correspondientes a actividades diferentes a la prestación de dichos servicios. If; Ingresos facturados por prestación de los servicios públicos de acueducto y/o alcantarillado del período a evaluar. Para el cálculo de los Ingresos se deberán tener en cuenta también los correspondientes a los facturados a los municipios con el fin de cubrir los costos de prestación.Para pequeños prestadores y prestadores rurales, si el recaudo del periodo de evaluación no se lleva en una cuenta discriminada, el cálculo del Rl corresponderá a los Ingresos facturados por prestación de los servicios públicos de acueducto y/o alcantarillado menos la variación entre el saldo de la cartera del año evaluado y el del año anterior. |
| FUENTE DE INFORMACIÓN | SUI Para las variables f y RI: Formulario [900040] FC15 - Información sobre el cálculo del IUS para los Grupos 1 individual directo e individual indirecto, Grupo 2 Individual Indirecto. Para Grupo 3, Resolución 414 de 2014 y Resolución 533 de 2015 o aquella que la modifique, adicione, sustituya o aclare. Para pequeños prestadores y prestadores rurales: - Para las cuentas por cobrar: Formulario [210000] Estado de situación financiera para los Grupos 1 Individual directo e individual indirecto, Grupo 2 Individual Indirecto, Grupo 3 y Resolución 414 de 2014, o aquella que la modifique, adicione, sustituya o aclare. Formulario [210000] Estado de situación financiera para los prestadores de la Resolución 533 de 2015, o aquella que la modifique, adicione, sustituya o aclare. |
| ESTANDAR DE MEDICIÓN (No Normalizado) | ER = 90-100 |
| NORMALIZACIÓN | Para el cálculo del valor normalizado del indicador se aplicará la siguiente fórmula:![]() |
Referente de Evaluación (Normalizado)
| Segmento | Meta o Estándar de Medición | Escala de Medición |
| Todos los prestadores | 100 | 0 a 100 |
ARTÍCULO 6o. MODIFICAR el contenido de la ficha técnica del ANEXO 6.1.8.4 del Titulo 8 de la Parte 1 del Libro 6 de la Resolución CRA 943 de 2021 correspondiente al Indicador SF.1.3 Cubrimiento de Costos y Gastos - CG, incluido en la dimensión D.5 Sostenlbllldad Financiera (SF) de acuerdo con lo expuesto en la parte motiva de la presente resolución, el cual quedará así:
SUB-DIMENSIÓN: SF.1 - SUFICIENCIA FINANCIERA
| INDICADOR | SF.1.3 Cubrimiento de Costos y Gastos - CG |
| DEFINICIÓN | El CG determina la capacidad del prestador para cubrir todas las erogaciones derivadas de la prestación de los servicios domiciliarios de acueducto y/o alcantarillado con los Ingresos facturados efectivamente recaudados por prestación de los servicios públicos de acueducto y/o alcantarillado en el año de evaluación. |
| JUSTIFICACION | Este Indicador permite identificar riesgos financieros asociados a la incapacidad de cubrir por medio de los ingresos facturados efectivamente recaudados, los gastos operativos y administrativos generados por la prestación de los servicios públicos domiciliarios de acueducto y/o alcantarillado.Lo anterior, ya que un resultado bajo del indicador señala que el prestador no alcanza a cubrir sus gastos de operación, ni la potencial renovación del capital (depreciación) para continuar con la operación. Genera riesgos operativos, financieros, estratégicos y de cumplimiento. |
| NIVEL DE ANALISIS | Agregado a nivel de prestador, su resultado se replicará para cada área de prestación del servido - APS atendida por el mismo. |
| PERIODO DE EVALUACIÓN | Anual (año fiscal). |
| FÓRMULA | Para el cálculo del indicador se aplicará la siguiente fórmula: Donde: CG: Indicador de Cubrimiento de Costos y Gastos, redondeado a dos (2) cifras decimales. RI: Recaudo en el período de evaluación por prestación de los servicios públicos domiciliarios de acueducto y/o alcantarillado. Los valores recaudados no deben Incluir el recaudo de cartera de años anteriores, ni los correspondientes a actividades diferentes a la prestación de dichos servicios. GOAaa: Costos operativos y gastos administrativos generados durante el periodo de evaluación, correspondientes a la proporción para los servicios públicos domiciliarios de acueducto y alcantarillado. Se deben incluir todas las erogaciones asociadas a la prestación de los servicios públicos domiciliarios de acueducto y/o alcantarillado, Incluidas las generadas por la actividad comercial, así como las depredaciones y amortizaciones. |
| FUENTE DE INFORMACIÓN | SUI. Para la variable GOAA: Formulario [310000] Estado de Resultados Integral, resultado del periodo, por fundón del gasto - Individual para los Grupos 1 individual directo e individual indirecto, Grupo 2 Individual Indirecto. Formulario [310000] Estado de Resultados para Grupo 3, Resolución 414 de 2014 y Resoludón 533 de 2015 o aquella que la modifique, adidone, sustituya o adare. Para la variable Rl: Formulario [900040] FC15 - Información sobre el cálculo del IUS para los Grupos 1 individual directo e individual indirecto, Grupo 2 Individual Indirecto. Para Grupo 3, Resoludón 414 de 2014 y Resolución 533 de 2015 o aquella que la modifique, adicione, sustituya o adare. |
| FRECUENCIA DE MEDICIÓN | Anual (año fiscal) |
| ESTANDAR DE MEDICIÓN (No Normalizado) | |
| NORMALIZACIÓN | Para el cálculo del valor normalizado del indicador se aplicará la siguiente fórmula:![]() |
Referente de Evaluación (Normalizado)
| Segmento | Meta o Estándar de Medición | Escala de Medición |
| Todos los prestadores | 100 | 0 a 100 |
ARTÍCULO 7o. MODIFICAR el contenido de la ficha técnica del ANEXO 6.1.8.4 del Título 8 de la Parte 1 del Libro 6 de la Resolución CRA 943 de 2021 correspondiente al indicador SF.1.5 Rotación de Cartera de Servicios Públicos en días de pago - RC, incluido en la dimensión D.5 Sostenibilidad Financiera (SF) de acuerdo con lo expuesto en la parte motiva de la presente resolución, el cual quedará así:
SUB-DIMENSIÓN: SF.1 - SUFICIENCIA FINANCIERA
| INDICADOR | SF.1.5 rotacion de Cartera de Servicios Publicos en dias de pago-RC |
| DEFINICION | EL RC corresponde a la identificación del tiempo promedio en que se recibe el pago por parte de los suscriptores por concepto de la cartera generada por la prestación de los servicios públicos domiciliarios de acueducto y/o alcantarillado. |
| JUSTIFICACIÓN | La gestión y resultados de una persona prestadora refleja el riesgo financiero asodado al período promedio en el que el prestador recupera su cartera, pudlendo Implicar que, entre mayor número de días, el prestador tendrá menor liquidez y una mayor demora para recuperar los saldos adeudados en sus cuentas por cobrar. Genera riegos finanderos, de cumplimiento y estratégico. |
| NIVEL DE ANÁLISIS | Agregado a nivel de prestador, su resultado se replicará para cada área de prastadón del servicio - APS atendida por el mismo. |
| PERIODO DE EVALUACIÓN | Anual (año fiscal). |
| FÓRMULA | Para el cálculo del indicador se aplicará la siguiente fórmula: Donde: RC: Rotación de Cartera de servidos públicos en días de pago, redondeado a dos (2) cifras decimales. CCPC: Saldo de cuentas por cobrar por la prestación de los servidos públicos domiciliarios de acueducto y/o alcantarillado. Se indulrá el saldo total de las cuentes comerdales por cobrar comentes y no comentes reportadas por el prestador en el formulario correspondiente. RI: Recaudo en el periodo de evaluadón por prestación de los servidos públicos domiciliariosde acueducto y/o alcantarillado. Los valores recaudados no deben incluir el recaudo de cartera de años anteriores, ni los correspondientes a actividades diferentes a la prestación de dichos servicios. 360: Número de días del año de evaluadón. |
| FUENTE DE INFORMACIÓN | SUI. Para la variable cuentas por cobrar:Formulario [210000] Estado de situación financiera para los Grupos 1 individual directo e individual indirecto, Grupo 2 Individual Indirecto, Grupo 3 y Resolución 414 de 2014, o aquella que modifique, adidone, sustituya o adare.Formulario [210000] Estado de situadón financiera para los prestadores de la Resolución 533 de 2015, o aquella que modifique, adicione, sustituya o aclare. Para la variable Rl: Formularlo [900040] FC15 - Informadón sobre el cálculo del IUS para los Grupos 11ndividual directo e Individual Indirecto, Grupo 2 Individual Indirecto. Para Grupo 3, Resolución 414 de 2014 y Resoludón 533 de 2015 o aquella que la modifique, adidone, sustituya o adare. |
| ESTANDAR DE MEDICIÓN (No Normalizado) | |
| NORMALIZACIÓN | Para el cálculo del valor normalizado del Indicador se aplicará la siguiente fórmula:![]() |
Referente de Evaluación (Normalizado)
| Segmento | Meta o Estándar de Medición | Escala de Medición |
| Todos los prestadores | 100 | 0 a 100 |
ARTÍCULO 8o. MODIFICAR el contenido de la ficha técnica del ANEXO 6.1.8.4 del Título 8 de la Parte 1 del Libro 6 de la Resolución CRA 943 de 2021 correspondiente al indicador SF.2.1 EBITDA, incluido en la dimensión D.5 Sostenibilidad Financiera (SF) de acuerdo con lo expuesto en la parte motiva de la presente resolución, el cual quedará así:
SUB-DIMENSIÓN: SF.2 - FLUJO FINANCIERO
| INDICADOR | SF.2.1 EBITDA |
| DEFINICION | El EBITDA corresponde al cálculo de la utilidad del prestador, teniendo en cuenta la depuración antes de intereses, impuestos, depreciaciones y amortizaciones. |
| JUSTIFICACION | La gestión y resultados de una persona prestadora debe permitir evidenciar el riesgo financiero del prestador asociado al rendimiento operativo, debido a que muestra la rentabilidad real por la prestación de los servicios públicos domiciliarios de acueducto y/o alcantarillado. |
| NIVEL DE ANALISIS | Agregado a nivel de prestador, su resultado se replicará para cada área de prestación del servicio - APS atendida por el mismo. |
| PERÍODO DE EVALUACIÓN | Año fiscal |
| FORMULA | Para el cálculo del Indicador se aplicara la siguiente fórmula: Donde. EBITDA: Beneficio antes de intereses, impuestos, depreciaciones y amortizaciones, redondeado a dos (2) cifras decimales. UAO: Utilidad de actividades ordinarias; es el valor contable que mide el resultado obtenido directamente relacionado con la operación de la persona prestadora. Se obtiene restándole a la Ganancia bruta los gastos de administración. Depr: Depreciaciones, mecanismo mediante el cual se reconoce el desgaste y pérdida de valor que sufre un activo fijo por el uso del mismo en la generación de ingresos a través del tiempo. Amort: Amortizaciones; distribución del costo de una Inversión como gasto a lo largo de los períodos en que esa inversión va a permitir obtener ingresos. Dete: Deterioro; valor que se genera cuando el valor en libros de un activo es superior al valorrecuperable. Provi: Provisiones; recursos que conserva el prestador por haber contraído una obligación, con el objetivo de guardar esos recursos hasta el momento en el que deba satisfacer la factura, se excluye la renta. |
| FUENTE DE INFORMACIÓN | SUI. - Para la variable Utilidad de Actividades Ordinarias:Formulario [310000] Estado de Resultados Integral para los Grupos 1 individual directo e Individual Indirecto, Grupo 2 Individual Indirecto, Grupo 3 y Resolución 414 de 2014, o aquella que modifique, adicione, sustituya o aclare; y Formulario [310000] Estado de resultados para los prestadores de la Resolución 533 de 2015, o aquella que modifique, adicione, sustituya o aclare. - Para las variables “Depreciaciones”, “Amortizaciones”, “Deterioro” y “Provisiones":Formulario [900017g] FC01-7 para los Grupos 1 individual directo e individual indirecto, Grupo 2 Individual Indirecto, Grupo 3, Resolución 414 de 2014 y Resolución 533 de 2015, o aquellas que las modifiquen, adicionen, sustituyan o aclaren. |
| FRECUENCIA DEMEDICIÓN | Anual (año fiscal) |
| ESTANDAR DE MEDICIÓN (No NORMALIZACIÓN | El resultado del EBITDA debe ser positivo, indicando que el prestador está generando rentabilidad. En caso de que el resultado del indicador sea negativo, el prestador se encontraría generando perdidas |
| NORMALIZACIÓN | Para el cálculo del valor normalizado del indicador se aplicará la siguiente fórmula:![]() |
Referente de Evaluación (Normalizado)
| Segmento | Meta o Estándar de Medición | Escala de Medición |
| Todos los prestadores | 100 | 0 a 100 |
ARTICULO 9o. MODIFICAR el contenido de la ficha técnica del ANEXO 6.1.8.4 del Título 8 de la Parte 1 del Libro 6 de la Resolución CRA 943 de 2021 correspondiente al indicador SF.3.1 Liquidez Ajustada - LA, incluido en la dimensión D.5 Sostenibilidad Financiera (SF) de acuerdo con lo expuesto en la parte motiva de la presente resolución, el cual quedará así:
SUB-DIMENSIÓN: SF. 3 - GESTIÓN DE RENTABILIDAD Y ENDEUDAMIENTO
| INDICADOR | SF.3.1 Liquidez Ajustada - LA |
| DEFINICIÓN | La LA determina la capacidad de solventar las deudas exigibles hasta un año de plazo respecto a la fecha de cierre del ejercicio del período de evaluación, con relación al saldo de las inversiones de acuerdo con el POIR establecido por el prestador. |
| JUSTIFICACION | La gestión y resultados de una persona prestadora debe permitir establecer la capacidad que tiene la empresa para solventar sus obligaciones de corto plazo, en relación con los ingresos que ha recibido por las inversiones planeadas. Esto permite evidenciar el riesgo financiero de iliquidez, ya que si el indicador disminuye o es bajo podría significar futuras deficiencias en la prestación de los servicios. Genera riesgos financieros, estratégicos y de cumplimiento. |
| NIVEL DE ANÁLISIS | Agregado a nivel de prestador. Su resultado se replicará para cada área de prestación del servicio - APS atendida por éste. |
| PERIODO DE EVALUACIÓN | Año fiscal. |
| FÓRMULA | Para el cálculo del indicador se aplicará la siguiente fórmula: LA: Liquidez Ajustada, redondeado a dos (2) cifras decimales. LAac. Liquidez ajustada asociada al servicio público domiciliario de acueducto en el período de evaluación, de acuerdo con la siguiente fórmula: Donde: ACac: Activos comientes totales correspondientes a la proporción para el servicio público domiciliario de acueducto. PCAC: Pasivos comentes totales correspondientes a la proporción para el servicio público domiciliario de acueducto. aps: Área de prestación del servido de la persona prestadora, donde: aps = {1,2,3, ICMIapsJiC: Ingreso causado por concepto de Costo Medio de Inversión -CMI derivado del POIR para el servicio público domiciliario de acueducto durante el periodo de evaluación, expresado en pesos corrientes, de acuerdo con la siguiente fórmula: Donde: Index: Factor de indexadón de los pesos de diciembre de 2014 a pesos de diciembre del año de evaluadón, el cual se obtiene de dividir el IPC de didembre del año de evaluadón y el IPC de diciembre de 2014, teniendo presente que para ambos índices se emplee la misma base del IPC, establecida por el DANE. Donde: Donde: de alcantarillado correspondientes al periodo de evaluadón. Index: Factor de ¡ndexadón de los pesos de diciembre de 2014 a pesos de diciembre del año de evaluación, el cual se obtiene de dividir el IPC de didembre del año de evaluadón y el IPC de didembre de 2014, teniendo presente que para ambos índices se emplee la misma base del IPC, establecida por el DANE. Para la aplicadón de esta fórmula se deben tener en cuenta los siguientes aspectos: - Para las personas prestadoras que no atiendan de manera agregada los servicios públicos domiciliarios de acueducto y alcantarillado, el valor de la liquidez ajustada (LA) corresponderá únicamente al valor de la liquidez ajustada asociada al servicio público domiciliario atendido (LAu) o (LAac)- - El indicador es aplicable a prestadores que empleen una fórmula tarifaria contractual en los términos del parágrafo 1 del artículo 87 de la Ley 142 de 1994, lo anterior, de acuerdo con el alcance de lo previsto en el contrato. |
| FUENTE DE INFORMACIÓN | SUI. Para las variables activo comente y pasivo comente: Formulario [210000] Estado de situación financiera para los Grupos 1 Individual directo e individual Indirecto, Grupo 2 Individual Indirecto, Grupo 3 y Resolución 414 de 2014, o aquella que modifique, adicione, sustituya o aclare. Formularlo [210000] Estado de situación financiera para los prestadores de la Resolución 533 de 2015, o aquella que modifique, adicione, sustituya o aclare. Para la variable ICMI: Formulario [900040] FC15 - Información sobre el cálculo del IUS para los Grupos 11ndividual directo e Individual Indirecto, Grupo 2 Individual Indirecto. Para Grupo 3, Resolución 414 de 2014 y Resolución 533 de 2015 o aquella que la modifique, adicione, sustituya o aclare. |
| ESTANDAR DE MEDICIÓN (No Normalizado) | A partir de la segunda fase de la implementación del IUS, este indicador tendrá calificación por reporte de la totalidad de la información requerida para el cálculo, de la siguiente manera: |
Referente de Evaluación (Normalizado)
| Segmento | Meta o Estándar de Medición | Escala de Medición |
| Todos los prestadores | 100 | 0 a 100 |
ARTÍCULO 10. MODIFICAR el contenido de la ficha técnica del ANEXO 6.1.8.4 del Título 8 de la Parte 1 del Libro 6 de la Resolución CRA 943 de 2021 correspondiente al indicador SF.3.2 índice Financiero asociado a la Eficiencia Operativa - IEO, incluido en la dimensión D.5 Sostenibilidad Financiera (SF) de acuerdo con lo expuesto en la parte motiva de la presente resolución, el cual quedará así:
SUB-DIMENSIÓN: SF. 3 - GESTIÓN DE RENTABILIDAD Y ENDEUDAMIENTO
| INDICADOR | SF.3.2 índice Financiero asociado a la Eficiencia Operativa - IEO |
| DEFINICION | El IEO mide la capacidad del prestador para cubrir sus costos y gastos operad onales, teniendo en cuenta los gastos asociados a la prestación del servicio y los ingresos por concepto de Costo Medio de Operación - CMO y Costo Medio de Administración - CMA. |
| JUSTIFICACION | La gestión y resultados de una persona prestadora debe permitir identificar si los ingresos generados por la prestación de los servicios públicos domiciliarios de acueducto y/o alcantarillado logran cubrir los costos y gastos administrativos y operativos generados en la prestación, lo cual Incide en la viabilidad financiera del prestador. Genera riesgos financieros, estratégicos y de cumplimiento. |
| NIVEL DE ANALISIS | Agregado a nivel de prestador. Su resultado se replicará para cada área de prestación del servido -APS atendida por éste. |
| PERIODO DE EVALUACIÓN | Año fiscal. |
| FORMULA | Para el cálculo del indicador se aplicará la siguiente fórmula: Donde: IEO: Indice de Eficiencia Operativa, redondeado a dos (2) cifras decimales. IEOAC: índice financiero asociado a la eficiencia operativa para el servicio público domiciliario de acueducto, de acuerdo con la siguiente fórmula: Donde: ICMAaps¡AC: Ingreso causado por concepto de Cosío Medio de Administración - CMA por APS, durante el periodo de evaluación, para el servicio público domiciliario de acueducto. aps: Área de prestación del servicio de la persona prestadora, donde: aps = {1,2,3, ERac: Eficiencia en el recaudo. Se calcula según lo definido para el indicador SF.1.2 Eficiencia en el Recaudo - ER, afectado por la proporción correspondiente al servicio público domiciliario de acueducto. COAac: Costos operativos y gastos administrativos generados durante el periodo de evaluación, correspondientes a la proporción para el servicio público domiciliario de acueducto. Para su determinación se deberán tener en cuenta los costos y criterios utilizados para determinar el CMA y CMO en aplicación de la metodología tarifaria. TURac: Gasto por concepto de Tasa de uso de agua IEOal: índice financiero asociado a la eficiencia operativa para el servicio público domiciliario de alcantarillado, de acuerdo con la siguiente fórmula: Donde: ICMAapSiAL: Ingreso causado por concepto de Costo Medio de Administración - CMA por APS, durante el periodo de evaluación, para el servicio público domiciliario de alcantarillado. ERal: Eficiencia en el recaudo. Se calcula con lo definido para el indicador SF.1.2 Eficiencia en el Recaudo - ER, afectado por la proporción correspondiente al servicio público domiciliario de alcantarillado. COAal: Costos operativos y gastos administrativos generados durante el periodo de evaluación, correspondientes a la proporción para el servicio público domiciliario de alcantarillado. Para su determinación se deberán tener en cuenta los costos y criterios utilizados para determinar el CMA y CMO en aplicación de la metodología tarifaria. TURAL: Gasto por concepto de Tasa retributiva. No se deberán incorporar costos de factores regionales diferentes a 1, ni costos asociados a multas y sanciones. Para la aplicación de esta fórmula se deben tener en cuenta los siguientes aspectos: - Para las personas prestadoras que no atiendan de manera agregada los servicios públicos domiciliarios de acueducto y alcantarillado, el valor del índice de eficiencia operativa (J£0) corresponderá únicamente al valor del índice financiero asociado a la eficiencia operativa del servicio público domiciliario atendido (IEOAc) o (IEOA,.). - El indicador es aplicable a prestadores que empleen una fórmula tarifaria contractual en los términos del parágrafo 1 del artículo 87 de la Ley 142 de 1994, lo anterior, de acuerdo con el alcance de lo previsto en el contrato. |
| FUENTE DE INFORMACIÓN | SUI. Para las variables ¡CMA, ICMO y TURAC/AL Formulario [900040] FC15 - Información sobre el cálculo del IUS para los Grupos 1 individual directo e individual indirecto, Grupo 2 Individual Indirecto. Para Grupo 3, Resolución 414 de 2014 y Resolución 533 de 2015 o aquella que la modifique, adicione, sustituya o aclare |
| ESTANDAR DE MEDICIÓN (No Normalizado) | A partir de la segunda fase de la implementación del IUS, este indicador tendrá calificación por reporte de la totalidad de la información requerida para el cálculo, de la siguiente manera: |
Referente de Evaluación (Normalizado)
| Segmento | Meta o Estándar de Medición | Escala de Medición |
| Todos los prestadores | 100 | 0 a 100 |
ARTÍCULO 11. MODIFICAR el contenido de le Helia técnica del ANEXO 6.1.8.4 del Titulo 8 de la Paite 1 del Libro 6 de la Resolución CRA 943 de 2021 correspondiente al indicador GYT.2.1 Valor Económico Agregado - EVA, incluido en la dimensión D.6 Gobierno y Transparencia (GYT) de acuerdo con lo expuesto en la parte motiva de la presente resolución, el cual quedara así:
SUB-DIMENSIÓN: GYT.2 - VALOR ECONÓMICO AGREGADO
| INDICADOR | GYT.2.1 Valor Económico Agregado - EVA |
| DEFINICIÓN | El EVA mide la creación de valor por parte del prestador, después de deducir el costo de oportunidad del capital empleado. Es una medida de rentabilidad de la empresa, ya que permite visualizar el desempeño de ésta, a través de las ganancias obtenidas luego de cubrir la totalidad de los gastos y la rentabilidad mínima esperada por los accionistas. |
| JUSTIFICACION | La gestión y resultados de una persona prestadora debe permitir verificar la presencia de riesgos operativos, estratégicos, financieros y de imagen del prestador, asociados con una falta de creación de valor al interior del prestador. Esto podría evidenciar una gestión ineficiente e inadecuada, tanto en la toma de decisiones como en el destino de los recursos económicos del mismo. Se estructura a partir de la información financiera del prestador. |
| NIVEL DE ANÁLISIS | Agregado a nivel de prestador, su resultado se replicará para cada área de prestación del servicio - APS atendida por el mismo. |
| PERIODO DE EVALUACIÓN | Anual (año fiscal). |
| FÓRMULA | Valores que componen el valor económico agregado![]() Para el cálculo del indicador se aplicará la siguiente formula: Donde: EVA: Valor Económico Agregado, redondeado a dos (2) cifras decimales. UNA: Utilidad neta antes de impuestos más costos financieros, de acuerdo con la siguiente fórmula: UNA = (Ganancia (pérdida) antes de impuestos + costos financieros) X (1 – Tasa de impuestos) Donde: Ganancia (pérdida)antes de impuestos: Valor contable que mide las ganancias obtenidas por una empresa, incluyendo los costos e ingresos operacionales y no operacionales, antes de impuestos. Costos financieros: Corresponden a los costos por intereses y demás gastos financieros en que incurre la persona prestadora que se registran como costo del período. Tasa de impuestos: Tasa de impuesto vigente para el año de evaluación, de acuerdo con lo establecido en el Estatuto Tributario o la norma que lo modifique. wacc: Tasa del costo promedio ponderado de capital regulatorio, de acuerdo con el marco tarifario que le aplique a la persona prestadora. CI: Capital invertido, de acuerdo con la siguiente fórmula: CI = AT- PCSF Donde: AT: Activo total. Se incluirá el saldo del activo total, reportado por el prestador para el período de evaluación. PCSF: Pasivos sin obligaciones financieras. Corresponden a aquellas obligaciones con las que cuenta el prestador y sobre las cuales no se pagan intereses. Se calcularán tomando el Pasivo total y restándole las obligaciones financieras y los préstamos corrientes y no corrientes, si los hay, de acuerdo con el marco normativo contable que le corresponda a la persona prestadora. |
| FUENTE DE INFORMACIÓN | SUI. - Para las variables Ganancia (pérdida) antes de impuestos y Costos financieros: Formulario [310000] Estado de Resultados Integral para los Grupos 1 individual directo e individual indirecto, Grupo 2 Individual Indirecto, Grupo 3 y Resolución 414 de 2014. Formulario [310000] Estado de resultados para los prestadores de la Resolución 533 de 2015, o aquella que la modifique, adicione, sustituya o aclare. - Para la variable Activo Total: Formulario [210000] Estado de situación financiera para los Grupos 1 individual directo e individual indirecto, Grupo 2 Individual Indirecto, Grupo 3 y Resolución 414 de 2014, o aquella que la modifique, adicione, sustituya o aclare. Formulario [210000] Estado de situación financiera para los prestadores de la Resolución 533 de 2015, o aquella que la modifique, adicione, sustituya o aclare. - Los Pasivos sin obligaciones financieras, se calcularán tomando el Pasivo total menos los Pasivosfinancieros del Formulario [210000]. |
| ESTANDAR DE MEDICIÓN (No Normalizado) | El resultado del EVA debe ser positivo, indicando que el prestador está generando valor. En casoque el resultado del indicador sea negativo, el prestador se encontraría destruyendo valor. |
| NORMALIZACION | Para el cálculo del valor normalizado del indicador se aplicará la siguiente formula:![]() |
Referente de Evaluación (Normalizado)
| Segmento | Meta o Estándar de Medición | Escala de Medición |
| Grandes prestadores y Pequeños prestadores | 100 | 0 a 100 |
ARTÍCULO 12. Adicionar un artículo al Capítulo 2 del Subtítulo 3 del Título 5 de la Parte 6 del Libro 1 de la Resolución CRA 943 de 2021, el cual quedará así:
“Artículo 1.6.5.3.2.4. Modificación de línea base de los Planes de Gestión y Resultados (PGR). Las personas prestadoras que se encuentren dentro del ámbito de aplicación de la Resolución CRA 906 de 2019 o aquella que la modifique, sustituya o derogue, deberán, por una sola vez, modificar la línea base y las metas al corto, mediano y largo plazo de sus Planes de Gestión y Resultados asociadas a los siguientes indicadores: (i) Índice de Inversiones Acumuladas de Acueducto (IIAAC); (ii) Índice de Ejecución Anual de Inversiones de Acueducto (IEAIAC); (iii) Índice de Inversiones Acumuladas de Alcantarillado (IIAALC); (iv) Índice de Ejecución Anual de Inversiones de Alcantarillado (IEAIAL); (v) Eficiencia en el Recaudo (ER); (vi) Cubrimiento de Costos y Gastos – CG; (vii) Rotación de Cartera de Servicios Públicos en días de pago – RC; (viii) EBITDA; (ix) Liquidez Ajustada (LA); (x) Índice Financiero asociado a la Eficiencia Operativa (IEO); y, (xi) Valor Económico Agregado (EVA).
La modificación a la que se refiere el presente artículo deberá efectuarse en el marco de la actualización del Plan de Gestión y Resultados (PGR), del que trata el artículo 1.6.5.3.4.1. del Capítulo 4 del Subtítulo 3 del Título 5 de la Parte 6 del Libro 1 de la Resolución CRA 943 de 2021, para el período que culmina el 30 de noviembre de 2021”.
ARTÍCULO 13. Modificar el artículo 1.6.5.2.3.1. del Capítulo 3 del Subtítulo 2 del Título 5 de la Parte 6 del Libro 1 de la Resolución CRA 943 de 2021, el cual quedará así:
“Artículo 1.6.5.2.3.1. Periodicidad de la evaluación del nivel de riesgo. La Superintendencia de Servicios Públicos Domiciliarios, evaluará y clasificará el nivel de riesgo de cada prestador correspondiente al periodo de evaluación inmediatamente anterior y publicará, anualmente, antes del 30 de junio de cada año, los resultados de dicha evaluación a nivel de las dimensiones que conforman el Indicador Único Sectorial (IUS).
PARÁGRAFO. Para el año 2021 la Superintendencia de Servicios Públicos Domiciliarios evaluará y clasificará el nivel de riesgo de cada prestador y publicará los resultados antes del 29 de octubre de dicho año”.
ARTÍCULO 14. Modificar el artículo 1.6.5.3.4.1. del Capítulo 4 del Subtítulo 3 del Título 5 de la Parte 6 del Libro 1 de la Resolución CRA 943 de 2021, el cual quedará así:
“Artículo 1.6.5.3.4.1. Reporte de la actualización del Plan de Gestión y Resultados (PGR). Acorde con lo establecido en el parágrafo del artículo 52 de la Ley 142 de 1994, la persona prestadora deberá actualizar anualmente el Plan de Gestión y Resultados (PGR) y reportarlo a la Superintendencia de Servicios Públicos Domiciliarios (SSPD), antes del 30 de julio de cada año, de conformidad con la estructura establecida en el Artículo 20 de la presente resolución y en los mismos términos de los parágrafos 1 y 2 del artículo 1.6.5.3.2.1. de la presente Resolución.
La actualización del PGR no tendrá efecto sobre el IUS calculado y publicado por la Superintendencia de Servicios Públicos Domiciliarios para el periodo de evaluación anterior.
PARÁGRAFO 1o. La actualización del PGR debe contar, anualmente, con la aprobación de la entidad tarifaria local. El acto de aprobación deberá reportarse a la Superintendencia de Servicios Públicos Domiciliarios, en las condiciones que dicha entidad establezca.
PARÁGRAFO 2o. Para el año 2021, la persona prestadora deberá reportar el Plan de Gestión y Resultados (PGR) actualizado antes del 30 de noviembre de dicho año”.
ARTÍCULO 15. VIGENCIA. La presente Resolución rige a partir de la fecha de su publicación en el Diario Oficial.
Publíquese y cúmplase.
Dada en Bogotá, D. C., a 17 de junio de 2021.
El Presidente,
José Luis Acero Vergel.
El Director Ejecutivo,
Diego Felipe Polanía Chacón
NOTAS AL FINAL:
1. Modificado por el artículo 1o de la Resolución CRA 938 de 2020. Corresponde al POIR resultante de todas las modificaciones realizadas por el prestador a partir del año en que haya dado aplicación al artículo 52 de la Resolución CRA 688 de 2014, asi como a lo señalado en los artículos 9o, 14 y 15 de la Resolución CRA 864 de 2018 o cuando la CRA lo disponga en aplicación de la Resolución CRA 864 de 2018, previa solicitud de modificación de fórmula tarifaria de carácter particular y demás disposiciones regulatorias que expida esta Comisión de Regulación para tal fin.









