CONCEPTO 20250120131521 DE 2025
(noviembre 18)
<Fuente: Archivo interno entidad emisora>
COMISIÓN DE REGULACIÓN DE AGUA POTABLE Y SANEAMIENTO BÁSICO
-CRA-
Bogotá, D.C.
Señores
XXXXXX
Asunto: Radicado CRA 2025-321-012734-2 de 14 de octubre de 2025
Respetada señora XXXXXXX,
Acusamos recibo de la comunicación con el radicado del asunto, mediante la cual solicita lo siguiente:
"(...) información de cobros realizados por las Corporaciones Autónomas Regionales, como es el caso de CARDER en Risaralda, que se puedan incluir mediante tarifa de servicio en CMT.
Es de resaltar que actualmente en este costo incluimos solamente las tasas por uso de agua, pero nos han manifestado que podríamos incluir los cobros por seguimiento a resoluciones; para lo cual consideramos importante contar con una norma específica que permita incluir estos costos en la tarifa.”
Previo a dar respuesta a su inquietud, le indicamos que, de acuerdo con lo dispuesto por el artículo 28 del Código de Procedimiento Administrativo y de lo Contencioso Administrativo, los conceptos emitidos son orientaciones que no comprenden la solución directa de problemas específicos, ni el análisis de situaciones particulares, la respuesta es general y no tiene carácter obligatorio ni vinculante. Adicionalmente, la presente respuesta se emite sin perjuicio de lo que sobre el particular consideren otras entidades en el ámbito de sus competencias.
Al respecto, y en términos generales, las fórmulas tarifarias para los servicios públicos domiciliarios de acueducto y alcantarillado se basan en el cálculo de un cargo fijo (CF) y un cargo por unidad de consumo (CC) aplicado al volumen facturado mensual (vf).
El cargo fijo es equivalente al Costo Medio de Administración (CMA) y el cargo por unidad de consumo es equivalente a la suma del Costo Medio de Operación (CMO), el Costo Medio de Inversión (CMI) y el Costo Medio Generado por Tasas Ambientales (CMT). El Costo Medio de Operación está compuesto por el Costo Medio de Operación General (CMOG) y el Costo Medio de Operación Particular (CMOP).
En términos del Costo Medio de Tasas Ambientales (CMT) estos corresponden a un paso directo, calculado según las disposiciones ambientales vigentes al momento de expedición de la metodología.
En relación con el Costo Medio Generado por Tasas Ambientales (CMT) para el primer y segundo segmento establecido en la Resolución CRA 825 de 2017[1], compilada en la Resolución CRA 943 de 2021, depurada y actualizada por la Resolución CRA 999 de 2024 se tiene lo siguiente:
En concordancia con lo dispuesto en los artículos 42 y 43 de la Ley 99 de 1993, así como en lo dispuesto en el artículo 164 de la Ley 142 de 1994, la metodología establecida por la CRA permite la recuperación de los costos asociados al cobro de la tasa retributiva y de la tasa por uso, en los costos de referencia de los servicios públicos domiciliarios de acueducto y alcantarillado.
1. Tasa por Uso de Agua. Están obligadas a pagar la tasa por uso de aguas todas las personas naturales o jurídicas y públicas o privadas, que utilicen el recurso hídrico en virtud de una concesión de aguas. Ahora bien, el hecho generador de dicha tasa es que el agua se utilice en virtud de una concesión; sólo este factor da lugar al cobro de la misma.
2. Tasa retributiva por vertimientos puntuales. El Ministerio de Ambiente y Desarrollo Sostenible define esta tasa como: "(...) aquella que cobrará la autoridad ambiental a los usuarios por la utilización directa e indirecta del recurso hídrico, como receptor de vertimientos puntuales directos o indirectos y sus consecuencias nocivas, originados en actividades antrópicas o propiciadas por el hombre y actividades económicas o de servicios, sean o no lucrativas. La tasa retributiva por vertimientos puntuales directos o indirectos, se cobrará por la totalidad de la carga contaminante descargada al recurso hídrico. La tasa retributiva se aplicará incluso a la contaminación causada por encima de los límites máximos permisibles, sin perjuicio de la imposición de las medidas preventivas y sancionatorias a que haya lugar. El cobro de la tasa no implica en ninguna circunstancia la legalización del respectivo vertimiento.”
Respecto de la competencia para cobrar y recaudar la tasa retributiva por vertimientos puntuales al recurso hídrico, el Decreto 1076 de 2015 la radicó en cabeza de las Corporaciones Autónomas Regionales, las Corporaciones para el Desarrollo Sostenible, los Grandes Centros Urbanos a los que se refiere el artículo 66 de la Ley 99 de 1993, los establecimientos públicos ambientales creados en virtud del artículo 13 de la Ley 768 de 2002, y Parques Nacionales Naturales de Colombia, creada por el Decreto-Ley 3572 de 2011, siempre y cuando corresponda a los usos permitidos en las áreas que integran el Sistema de Parques Nacionales Naturales.
De igual forma, este decreto establece el cálculo del monto a cobrar por concepto de tasa retributiva, en los mismos términos señalados por las normas anteriores a este, es decir, que el monto a cobrar a cada usuario sujeto al pago de la tasa dependerá de la tarifa mínima, el factor regional de cada parámetro objeto de cobro y la carga contaminante vertida.
Frente al Costo Medio Generado por Tasas Ambientales para Acueducto la resolución CRA 825 de 2017 establece lo siguiente:
El costo medio de tasas ambientales está determinado por las disposiciones normativas vigentes al momento de aplicar la metodología y las cuales fueron descritas en los numerales anteriores. Así las cosas, el costo medio generado por tasas ambientales para el servicio público domiciliario de acueducto se define con referencia a esta tasa establecida por la autoridad ambiental, o aquella que la modifique, adicione o derogue con la siguiente fórmula:
![]()
Donde:
| Costo Medio Generado por Tasas de Uso en el período i, para el servicio público domiciliario de acueducto, expresado en pesos por metro cúbico. | |
| Monto a pagar en el período i, por tasas de uso para el servicio público domiciliario de acueducto de acuerdo con la normativa vigente. No se podrá incluir en las tarifas el cobro de más de una vigencia. | |
| Volumen Facturado en el período i, del servicio público domiciliario de acueducto, expresado en metros cúbicos. | |
| Período de facturación de tasas ambientales correspondiente a la última vigencia cobrada por la autoridad ambiental. |
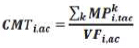
En caso de que la persona prestadora utilice varias fuentes de abastecimiento (k), en virtud de concesiones otorgadas para prestar el servicio público domiciliario de acueducto, el
corresponderá a la suma del valor a pagar por tasas de uso de cada una de las fuentes, de acuerdo con la siguiente expresión:
![]()
Así mismo se prevé, que cuando el Costo Medio Generado por Tasas de Uso para acueducto (
), presenten variaciones generadas por cambios en los valores de las tasas por utilización de agua, deberán recalcular el valor de dicho costo y aplicarlas directamente.
Sin embargo, para efectos de lo anterior se deberá cumplir las con lo previsto en la Sección 5.1.1 de la Resolución CRA 151 de 2001, o la norma que la modifique, adicione, sustituya o derogue para el reporte de las variaciones tarifarias.
Es importante mencionar que el valor del
corresponderá al valor de la última vigencia cobrada por la autoridad ambiental. No se podrá incluir en las tarifas el cobro de más de una vigencia.
Finalmente, frente al Costo Medio Generado por Tasas Ambientales para Alcantarillado la Resolución CRA 825 de 2017 establece lo siguiente:
Este costo se define con referencia a la tasa retributiva por la utilización directa o indirecta del agua como receptor de vertimientos puntuales, o aquella que la modifique, adicione o derogue, y se determinará por separado para los suscriptores con caracterización de los vertimientos con base en la siguiente fórmula:
![]()
Donde:
| Costo Medio Generado por Tasas Retributivas para el servicio público domiciliario de alcantarillado para cada suscriptor con caracterización de vertimientos, expresado en pesos por metro cúbico. | |
| Monto total a pagar establecido conforme al Decreto 2667 de 2012 o el que lo modifique, adicione, sustituya o derogue, para el suscriptor j con caracterización, correspondiente a la última actualización base de la declaración de la tasa. |

| Tmi: | Tarifa mínima del parámetro i al momento de la presentación del estudio |
| Fri. | Factor regional del parámetro i. Para el cálculo del costo medio siempre será 1, que es el valor aplicable si la persona prestadora cumple la meta de carga contaminante establecida por la autoridad ambiental. |
| Cij: | carga contaminante del parámetro i vertido para el suscriptor j con caracterización. |
| Corresponde a los metros cúbicos (m3) facturados por la persona prestadora a los suscriptores del servicio público domiciliario de alcantarillado, para el suscriptor j con caracterización. El volumen facturado para el servicio público domiciliario de alcantarillado corresponderá al volumen facturado del servicio de acueducto más el estimativo de la disposición de aguas residuales de aquellos usuarios que posean fuentes alternas o adicionales de abastecimiento de agua que viertan al alcantarillado. | |
| Período de facturación de tasas ambientales correspondiente a la última vigencia cobrada por la autoridad ambiental. |
En aquellos casos en que no exista caracterización, se utilizará la información de cargas presuntivas y se aplicará la siguiente fórmula:
![]()
Donde:
| Costo Medio Generado por Tasas Retributivas para el servicio público domiciliario de alcantarillado para los suscriptores sin caracterización de vertimientos, expresado en pesos por metro cúbico. | |
| Corresponde a los metros cúbicos (m3) facturados por la persona prestadora por el servicio público domiciliario de alcantarillado, a los suscriptores sin caracterización. El volumen facturado para el servicio público domiciliario de alcantarillado corresponderá al volumen facturado del servicio de acueducto más el estimativo de la disposición de aguas residuales de aquellos usuarios que posean fuentes alternas o adicionales de abastecimiento de agua que viertan al alcantarillado. | |
| Monto total a pagar establecido de conformidad con el Decreto 2667 de 2012 o el que lo modifique, adicione, sustituya o derogue, para los suscriptores sin caracterización, correspondiente a de la última vigencia cobrada por la autoridad ambiental. |

| Tmi. | Tarifa mínima del parámetro i al momento de la presentación del estudio. |
| Fri. | Factor regional del parámetro i. Para el cálculo del costo medio siempre será 1, que es el valor aplicable si la persona prestadora cumple la meta global de carga contaminante establecida por la autoridad ambiental. |
| Ci. | Carga contaminante del parámetro i vertido para los suscriptores sin caracterización. |
| n: | Total de parámetros sujetos de cobro. |
| v: | Período de facturación de tasas ambientales correspondiente a la última vigencia cobrada por la autoridad ambiental. |
Como en el caso del Costo Medio Generado por Tasa de Uso de agua, cuando se presenten variaciones en el Costo Medio Generado por Tasas Retributivas para alcantarillado(CMTaZ), generadas por cambios en los valores de las tarifas mínimas o de la carga contaminante de los parámetros, las personas prestadoras deberán recalcular el valor de dicho costo y aplicarlo directamente.
No obstante, se deberá cumplir las con lo previsto en la Sección 5.1.1 de la Resolución CRA 151 de 2001, o la norma que la modifique, adicione, sustituya o derogue para el reporte de las variaciones tarifarias.
A manera de conclusión, se tiene que los costos que pueden incorporarse en tarifa en el Costo Medio de Tasas Ambientales (CMT) es el determinado por las disposiciones normativas vigentes al momento de aplicar la metodología y las cuales fueron descritas anteriormente.
Cordialmente,
OMAR ALBERTO BARÓN AVENDAÑO
Jefe Oficina Asesora Jurídica
<NOTA DE PIE DE PÁGINA>
1. “Por la cual se establece la metodología tarifaria para las personas prestadoras de los servicios públicos domiciliarios de acueducto y alcantarillado que atiendan hasta 5.000 suscriptores en el área urbana y aquellas que presten el servicio en el área rural independientemente del número de suscriptores que atiendan.”